Suppr超能文献

左旋肉碱治疗慢性心力衰竭的疗效与安全性:一项随机对照试验的荟萃分析。

Efficacy and Safety of L-Carnitine Treatment for Chronic Heart Failure: A Meta-Analysis of Randomized Controlled Trials.

作者信息

Song Xiaolong, Qu Huiyan, Yang Zongguo, Rong Jingfeng, Cai Wan, Zhou Hua

机构信息

Department of Cardiology, Shuguang Hospital, Shanghai University of Traditional Chinese Medicine, Shanghai 201203, China.

Department of Cardiology, Yancheng Traditional Chinese Medicine Hospital Affiliated to Nanjing University of Chinese Medicine, Yancheng 224001, China.

出版信息

Biomed Res Int. 2017;2017:6274854. doi: 10.1155/2017/6274854. Epub 2017 Apr 13.

Abstract

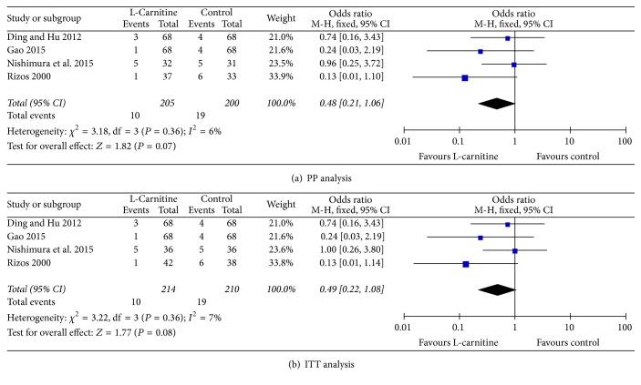
. Whether additional benefit can be achieved with the use of L-carnitine (L-C) in patients with chronic heart failure (CHF) remains controversial. We therefore performed a meta-analysis of randomized controlled trials (RCTs) to evaluate the effects of L-C treatment in CHF patients. . Pubmed, Ovid Embase, Web of Science, and Cochrane Library databases, Chinese National Knowledge Infrastructure (CNKI) database, Wanfang database, Chinese Biomedical (CBM) database, and Chinese Science and Technology Periodicals database (VIP) until September 30, 2016, were identified. Studies that met the inclusion criteria were systematically evaluated by two reviewers independently. . 17 RCTs with 1625 CHF patients were included in this analysis. L-C treatment in CHF was associated with considerable improvement in overall efficacy (OR = 3.47, < 0.01), left ventricular ejection fraction (LVEF) (WMD: 4.14%, = 0.01), strike volume (SV) (WMD: 8.21 ml, = 0.01), cardiac output (CO) (WMD: 0.88 L/min, < 0.01), and E/A (WMD: 0.23, < 0.01). Moreover, treatment with L-C also resulted in significant decrease in serum levels of BNP (WMD: -124.60 pg/ml, = 0.01), serum levels of NT-proBNP (WMD: -510.36 pg/ml, < 0.01), LVESD (WMD: -4.06 mm, < 0.01), LVEDD (WMD: -4.79 mm, < 0.01), and LVESV (WMD: -20.16 ml, 95% CI: -35.65 to -4.67, < 0.01). However, there were no significant differences in all-cause mortality, 6-minute walk, and adverse events between L-C and control groups. . L-C treatment is effective for CHF patients in improving clinical symptoms and cardiac functions, decreasing serum levels of BNP and NT-proBNP. And it has a good tolerance.

摘要

在慢性心力衰竭(CHF)患者中使用左旋肉碱(L-C)是否能带来额外益处仍存在争议。因此,我们进行了一项随机对照试验(RCT)的荟萃分析,以评估L-C治疗对CHF患者的影响。检索了截至2016年9月30日的PubMed、Ovid Embase、Web of Science和Cochrane图书馆数据库、中国国家知识基础设施(CNKI)数据库、万方数据库、中国生物医学文献数据库(CBM)以及中文科技期刊数据库(维普)。符合纳入标准的研究由两位评审员独立进行系统评价。本分析纳入了17项涉及1625例CHF患者的RCT。CHF患者接受L-C治疗与总体疗效(OR = 3.47,P < 0.01)、左心室射血分数(LVEF)(加权均数差:4.14%,P = 0.01)、每搏输出量(SV)(加权均数差:8.21 ml,P = 0.01)、心输出量(CO)(加权均数差:0.88 L/min,P < 0.01)以及E/A(加权均数差:0.23,P < 0.01)的显著改善相关。此外,L-C治疗还导致血清脑钠肽(BNP)水平(加权均数差:-124.60 pg/ml,P = 0.01)、血清N末端脑钠肽前体(NT-proBNP)水平(加权均数差:-510.36 pg/ml,P < 0.01)、左心室收缩末期内径(LVESD)(加权均数差:-4.06 mm,P < 0.01)、左心室舒张末期内径(LVEDD)(加权均数差:-4.79 mm,P < 0.01)以及左心室收缩末期容积(LVESV)(加权均数差:-20.16 ml,95%可信区间:-35.65至-4.67,P < 0.01)显著降低。然而,L-C组与对照组在全因死亡率、6分钟步行距离和不良事件方面无显著差异。L-C治疗对CHF患者改善临床症状和心功能、降低血清BNP和NT-proBNP水平有效,且耐受性良好。

https://cdn.ncbi.nlm.nih.gov/pmc/blobs/d555/5406747/446c830dc690/BMRI2017-6274854.001.jpg

文献AI研究员

20分钟写一篇综述,助力文献阅读效率提升50倍。

立即体验

用中文搜PubMed

大模型驱动的PubMed中文搜索引擎

马上搜索

文档翻译

学术文献翻译模型,支持多种主流文档格式。

立即体验