Weiner Daniel J, Wigdor Emilie M, Ripke Stephan, Walters Raymond K, Kosmicki Jack A, Grove Jakob, Samocha Kaitlin E, Goldstein Jacqueline I, Okbay Aysu, Bybjerg-Grauholm Jonas, Werge Thomas, Hougaard David M, Taylor Jacob, Skuse David, Devlin Bernie, Anney Richard, Sanders Stephan J, Bishop Somer, Mortensen Preben Bo, Børglum Anders D, Smith George Davey, Daly Mark J, Robinson Elise B
Analytic and Translational Genetics Unit, Department of Medicine, Massachusetts General Hospital and Harvard Medical School, Boston, Massachusetts, USA.
Stanley Center for Psychiatric Research, Broad Institute of MIT and Harvard, Cambridge, Massachusetts, USA.
Nat Genet. 2017 Jul;49(7):978-985. doi: 10.1038/ng.3863. Epub 2017 May 15.
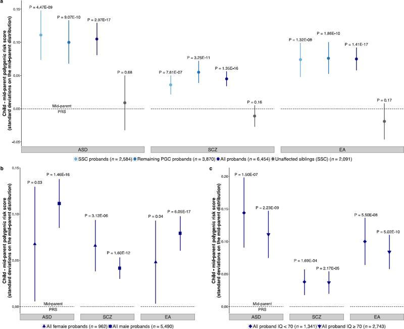
Autism spectrum disorder (ASD) risk is influenced by common polygenic and de novo variation. We aimed to clarify the influence of polygenic risk for ASD and to identify subgroups of ASD cases, including those with strongly acting de novo variants, in which polygenic risk is relevant. Using a novel approach called the polygenic transmission disequilibrium test and data from 6,454 families with a child with ASD, we show that polygenic risk for ASD, schizophrenia, and greater educational attainment is over-transmitted to children with ASD. These findings hold independent of proband IQ. We find that polygenic variation contributes additively to risk in ASD cases who carry a strongly acting de novo variant. Lastly, we show that elements of polygenic risk are independent and differ in their relationship with phenotype. These results confirm that the genetic influences on ASD are additive and suggest that they create risk through at least partially distinct etiologic pathways.
自闭症谱系障碍(ASD)风险受常见多基因变异和新生变异影响。我们旨在阐明ASD多基因风险的影响,并确定ASD病例的亚组,包括那些携带强效应新生变异的病例,其中多基因风险与之相关。我们采用一种名为多基因传递不平衡检验的新方法,并利用来自6454个有ASD患儿家庭的数据,结果显示,ASD、精神分裂症和受教育程度较高的多基因风险过度传递给ASD患儿。这些发现独立于先证者智商。我们发现,对于携带强效应新生变异的ASD病例,多基因变异对风险具有累加作用。最后,我们表明多基因风险的各因素是独立的,且与表型的关系有所不同。这些结果证实了对ASD的遗传影响是累加性的,并表明它们至少通过部分不同的病因途径产生风险。