Diniz Inês, Figueiredo Andreia, Loureiro Andreia, Batista Dora, Azinheira Helena, Várzea Vítor, Pereira Ana Paula, Gichuru Elijah, Moncada Pilar, Guerra-Guimarães Leonor, Oliveira Helena, Silva Maria do Céu
Centro de Investigação das Ferrugens do Cafeeiro (CIFC), Instituto Superior de Agronomia (ISA), Universidade de Lisboa, Oeiras, Portugal.
Linking Landscape, Environment, Agricultural and Food (LEAF), Instituto Superior de Agronomia (ISA), Universidade de Lisboa, Lisboa, Portugal.
PLoS One. 2017 May 19;12(5):e0178159. doi: 10.1371/journal.pone.0178159. eCollection 2017.
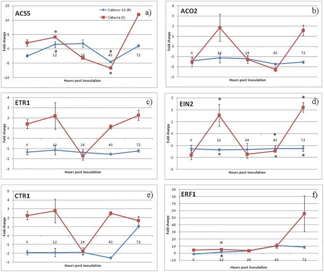
Understanding the molecular mechanisms underlying coffee-pathogen interactions are of key importance to aid disease resistance breeding efforts. In this work the expression of genes involved in salicylic acid (SA), jasmonic acid (JA) and ethylene (ET) pathways were studied in hypocotyls of two coffee varieties challenged with the hemibiotrophic fungus Colletotrichum kahawae, the causal agent of Coffee Berry Disease. Based on a cytological analysis, key time-points of the infection process were selected and qPCR was used to evaluate the expression of phytohormones biosynthesis, reception and responsive-related genes. The resistance to C. kahawae was characterized by restricted fungal growth associated with early accumulation of phenolic compounds in the cell walls and cytoplasmic contents, and deployment of hypersensitive reaction. Similar responses were detected in the susceptible variety, but in a significantly lower percentage of infection sites and with no apparent effect on disease development. Gene expression analysis suggests a more relevant involvement of JA and ET phytohormones than SA in this pathosystem. An earlier and stronger activation of the JA pathway observed in the resistant variety, when compared with the susceptible one, seems to be responsible for the successful activation of defense responses and inhibition of fungal growth. For the ET pathway, the down or non-regulation of ET receptors in the resistant variety, together with a moderate expression of the responsive-related gene ERF1, indicates that this phytohormone may be related with other functions besides the resistance response. However, in the susceptible variety, the stronger activation of ERF1 gene at the beginning of the necrotrophic phase, suggests the involvement of ET in tissue senescence. As far as we know, this is the first attempt to unveil the role of phytohormones in coffee-C. kahawae interactions, thus contributing to deepen our understanding on the complex mechanisms of plant signaling and defense.
了解咖啡与病原体相互作用的分子机制对于抗病育种工作至关重要。在这项研究中,研究了水杨酸(SA)、茉莉酸(JA)和乙烯(ET)途径相关基因在两个咖啡品种下胚轴中的表达,这两个品种受到半活体营养型真菌咖啡炭疽病菌(咖啡浆果病的病原体)的挑战。基于细胞学分析,选择了感染过程的关键时间点,并使用qPCR评估植物激素生物合成、受体和反应相关基因的表达。对咖啡炭疽病菌的抗性表现为真菌生长受限,与细胞壁和细胞质中酚类化合物的早期积累以及过敏反应的发生有关。在感病品种中也检测到了类似的反应,但感染部位的比例明显较低,且对病害发展没有明显影响。基因表达分析表明,在这个病理系统中,茉莉酸和乙烯植物激素比水杨酸更相关。与感病品种相比,抗病品种中观察到的茉莉酸途径更早、更强的激活似乎是防御反应成功激活和真菌生长抑制的原因。对于乙烯途径,抗病品种中乙烯受体的下调或无调节,以及反应相关基因ERF1的适度表达,表明这种植物激素可能除了抗性反应外还与其他功能有关。然而,在感病品种中,坏死营养阶段开始时ERF1基因的更强激活表明乙烯参与了组织衰老。据我们所知,这是首次揭示植物激素在咖啡与咖啡炭疽病菌相互作用中的作用,从而有助于加深我们对植物信号传导和防御复杂机制的理解。