• 文献检索
  • 文档翻译
  • 深度研究
  • 学术资讯
  • Suppr Zotero 插件Zotero 插件
  • 邀请有礼
  • 套餐&价格
  • 历史记录
应用&插件
Suppr Zotero 插件Zotero 插件浏览器插件Mac 客户端Windows 客户端微信小程序
定价
高级版会员购买积分包购买API积分包
服务
文献检索文档翻译深度研究API 文档MCP 服务
关于我们
关于 Suppr公司介绍联系我们用户协议隐私条款
关注我们

Suppr 超能文献

核心技术专利:CN118964589B侵权必究
粤ICP备2023148730 号-1Suppr @ 2026

文献检索

告别复杂PubMed语法,用中文像聊天一样搜索,搜遍4000万医学文献。AI智能推荐,让科研检索更轻松。

立即免费搜索

文件翻译

保留排版,准确专业,支持PDF/Word/PPT等文件格式,支持 12+语言互译。

免费翻译文档

深度研究

AI帮你快速写综述,25分钟生成高质量综述,智能提取关键信息,辅助科研写作。

立即免费体验

环境条件的地理和时间变化会影响终年繁殖的赤道云雀雏鸟的生长,但不会影响其免疫功能。

Geographical and temporal variation in environmental conditions affects nestling growth but not immune function in a year-round breeding equatorial lark.

作者信息

Ndithia Henry K, Bakari Samuel N, Matson Kevin D, Muchai Muchane, Tieleman B Irene

机构信息

Ornithology Section, Department of Zoology, National Museums of Kenya, P.O. Box 40658 -00100 GPO, Nairobi, Kenya.

Groningen Institute for Evolutionary Life Sciences, University of Groningen, P.O. Box 11103, 9700 CC Groningen, The Netherlands.

出版信息

Front Zool. 2017 May 26;14:28. doi: 10.1186/s12983-017-0213-1. eCollection 2017.

DOI:10.1186/s12983-017-0213-1
PMID:28559918
原文链接:https://pmc.ncbi.nlm.nih.gov/articles/PMC5446727/
Abstract

BACKGROUND

Variation in growth and immune function within and among populations is often associated with specific environmental conditions. We compared growth and immune function in nestlings of year-round breeding equatorial Redcapped Lark from South Kinangop, North Kinangop and Kedong (Kenya), three locations that are geographically close but climatically distinct. In addition, we studied growth and immune function of lark nestlings as a function of yearround variation in breeding intensity and rain within one location. We monitored mass, wing, and tarsus at hatching (day 1) and at 4, 7, and 10 days posthatch, and we quantified four indices of immune function (haptoglobin, agglutination, lysis and nitric oxide) using blood samples collected on day 10.

RESULTS

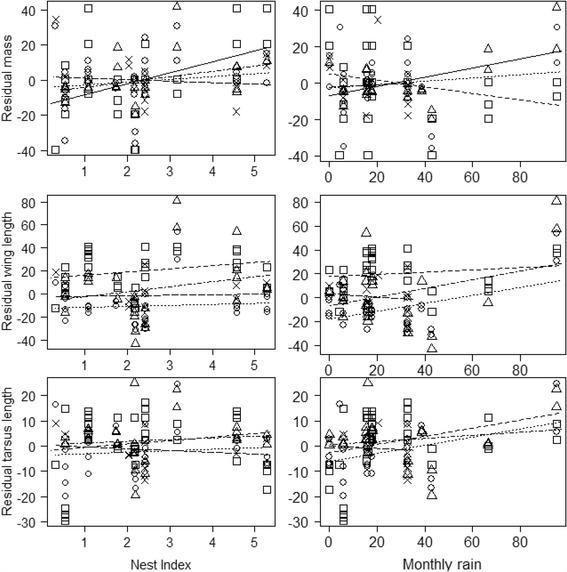
Nestling body mass and size at hatching, which presumably reflect the resources that females allocated to their eggs, were lowest in the most arid location, Kedong. Contrary to our predictions, nestlings in Kedong grew faster than nestlings in the two other cooler and wetter locations of South and North Kinangop. During periods of peak reproduction within Kedong, nestlings were heavier at hatching, but they did not grow faster over the first 10 days posthatch. In contrast, rainfall, which did not relate to timing of breeding, had no effect on hatching mass, but more rain did coincide with faster growth posthatch. Finally, we found no significant differences in nestling immune function, neither among locations nor with the yearround variation within Kedong.

CONCLUSION

Based on these results, we hypothesize that female body condition determines nestling mass and size at hatching, but other independent environmental conditions subsequently shape nestling growth. Overall, our results suggest that environmental conditions related to food availability for nestlings are relatively unimportant to the timing of breeding in equatorial regions, while these same conditions do have consequences for nestling size and growth.

摘要

背景

种群内部和种群之间生长与免疫功能的差异通常与特定环境条件相关。我们比较了来自肯尼亚南基南戈普、北基南戈普和凯东这三个地理位置相近但气候不同的地区的常年繁殖的赤道红顶云雀雏鸟的生长和免疫功能。此外,我们研究了一个地区内云雀雏鸟的生长和免疫功能与全年繁殖强度和降雨变化的关系。我们在雏鸟孵化时(第1天)以及孵化后4、7和10天监测了它们的体重、翅长和跗跖长,并使用第10天采集的血样对免疫功能的四个指标(触珠蛋白、凝集、裂解和一氧化氮)进行了量化。

结果

孵化时雏鸟的体重和体型可能反映了雌鸟分配给卵的资源,在最干旱的地区凯东最低。与我们的预测相反,凯东的雏鸟比南基南戈普和北基南戈普另外两个较凉爽湿润地区的雏鸟生长得更快。在凯东繁殖高峰期,雏鸟孵化时体重更重,但在孵化后的前10天内它们并没有生长得更快。相比之下,与繁殖时间无关的降雨对孵化时的体重没有影响,但更多降雨与孵化后更快的生长相吻合。最后,我们发现雏鸟的免疫功能在不同地区之间以及凯东地区内全年变化中均无显著差异。

结论

基于这些结果,我们推测雌鸟的身体状况决定了雏鸟孵化时的体重和体型,但其他独立的环境条件随后会影响雏鸟的生长。总体而言,我们的结果表明,与雏鸟食物供应相关的环境条件对赤道地区繁殖时间的影响相对较小,而这些条件确实会对雏鸟的体型和生长产生影响。

https://cdn.ncbi.nlm.nih.gov/pmc/blobs/95e5/5446727/5e3498ca3c35/12983_2017_213_Fig4_HTML.jpg
https://cdn.ncbi.nlm.nih.gov/pmc/blobs/95e5/5446727/e79937da2397/12983_2017_213_Fig1_HTML.jpg
https://cdn.ncbi.nlm.nih.gov/pmc/blobs/95e5/5446727/c2450c157441/12983_2017_213_Fig2_HTML.jpg
https://cdn.ncbi.nlm.nih.gov/pmc/blobs/95e5/5446727/d56d37c54768/12983_2017_213_Fig3_HTML.jpg
https://cdn.ncbi.nlm.nih.gov/pmc/blobs/95e5/5446727/5e3498ca3c35/12983_2017_213_Fig4_HTML.jpg
https://cdn.ncbi.nlm.nih.gov/pmc/blobs/95e5/5446727/e79937da2397/12983_2017_213_Fig1_HTML.jpg
https://cdn.ncbi.nlm.nih.gov/pmc/blobs/95e5/5446727/c2450c157441/12983_2017_213_Fig2_HTML.jpg
https://cdn.ncbi.nlm.nih.gov/pmc/blobs/95e5/5446727/d56d37c54768/12983_2017_213_Fig3_HTML.jpg
https://cdn.ncbi.nlm.nih.gov/pmc/blobs/95e5/5446727/5e3498ca3c35/12983_2017_213_Fig4_HTML.jpg

相似文献

1
Geographical and temporal variation in environmental conditions affects nestling growth but not immune function in a year-round breeding equatorial lark.环境条件的地理和时间变化会影响终年繁殖的赤道云雀雏鸟的生长,但不会影响其免疫功能。
Front Zool. 2017 May 26;14:28. doi: 10.1186/s12983-017-0213-1. eCollection 2017.
2
Immune function differs among tropical environments but is not downregulated during reproduction in three year-round breeding equatorial lark populations.免疫功能在热带环境中存在差异,但在三个全年繁殖的赤道云雀种群的繁殖期间并未下调。
Oecologia. 2021 Nov;197(3):599-614. doi: 10.1007/s00442-021-05052-0. Epub 2021 Oct 12.
3
Year-round breeding equatorial Larks from three climatically-distinct populations do not use rainfall, temperature or invertebrate biomass to time reproduction.来自三个气候不同种群的全年繁殖的赤道云雀不会利用降雨、温度或无脊椎动物生物量来确定繁殖时间。
PLoS One. 2017 Apr 18;12(4):e0175275. doi: 10.1371/journal.pone.0175275. eCollection 2017.
4
Annual variation in the reproductive hormone and behavior rhythm in a population of the Asian short-toed lark: Can spring temperature influence activation of the HPG axis of wild birds?亚洲短趾百灵种群中生殖激素和行为节律的年度变化:春季温度会影响野生鸟类下丘脑-垂体-性腺轴的激活吗?
Horm Behav. 2017 Sep;95:76-84. doi: 10.1016/j.yhbeh.2017.08.002. Epub 2017 Aug 16.
5
Innate immune function and antioxidant capacity of nestlings of an African raptor covary with the level of urbanisation around breeding territories.雏鸟的先天免疫功能和抗氧化能力与繁殖地周围城市化水平呈正相关。
J Anim Ecol. 2023 Jan;92(1):124-141. doi: 10.1111/1365-2656.13837. Epub 2022 Dec 4.
6
No effect of carotenoid supplementation on phytohemagglutinin response or body condition of nestling house wrens.补充类胡萝卜素对雏家鹪鹩的植物血凝素反应或身体状况没有影响。
Physiol Biochem Zool. 2012 Jan-Feb;85(1):21-8. doi: 10.1086/663353. Epub 2011 Nov 29.
7
Hatching Asynchrony in American Goldfinches: An Experimental Study.美洲金翅雀孵化异步性的实验研究
Ecology. 1987 Dec;68(6):1747-1759. doi: 10.2307/1939866.
8
Sex-specific effects of hatching order on nestling baseline corticosterone in a wild songbird.一窝雏鸟中孵化顺序对野生鸣禽雏鸟基础皮质酮的性别特异性影响
Gen Comp Endocrinol. 2022 Apr 1;319:113964. doi: 10.1016/j.ygcen.2021.113964. Epub 2021 Dec 16.
9
An analysis of pre- and post-hatching maternal effects mediated by carotenoids in the blue tit.对青山雀中由类胡萝卜素介导的孵化前后母体效应的分析。
J Evol Biol. 2007 Jan;20(1):326-39. doi: 10.1111/j.1420-9101.2006.01194.x.
10
Sex-specific effects of albumen removal and nest environment manipulation on Barn Swallow nestlings.去除蛋白和操纵巢环境对家燕雏鸟的性别特异性影响。
Ecology. 2008 Aug;89(8):2315-24. doi: 10.1890/07-1066.1.

引用本文的文献

1
Cloacal microbiota are biogeographically structured in larks from desert, tropical and temperate areas.雀形目鸟类的泄殖腔微生物组具有地理结构,分布于沙漠、热带和温带地区。
BMC Microbiol. 2023 Feb 11;23(1):40. doi: 10.1186/s12866-023-02768-2.
2
Innate immune function and antioxidant capacity of nestlings of an African raptor covary with the level of urbanisation around breeding territories.雏鸟的先天免疫功能和抗氧化能力与繁殖地周围城市化水平呈正相关。
J Anim Ecol. 2023 Jan;92(1):124-141. doi: 10.1111/1365-2656.13837. Epub 2022 Dec 4.
3
Immune function differs among tropical environments but is not downregulated during reproduction in three year-round breeding equatorial lark populations.

本文引用的文献

1
The influence of environmental conditions on immune responses, morphology and recapture probability of nestling house martins (Delichon urbica).环境条件对家燕雏鸟(家燕)免疫反应、形态及重捕概率的影响。
Oecologia. 2001 Feb;126(3):333-338. doi: 10.1007/s004420000527. Epub 2001 Feb 1.
2
Year-round breeding equatorial Larks from three climatically-distinct populations do not use rainfall, temperature or invertebrate biomass to time reproduction.来自三个气候不同种群的全年繁殖的赤道云雀不会利用降雨、温度或无脊椎动物生物量来确定繁殖时间。
PLoS One. 2017 Apr 18;12(4):e0175275. doi: 10.1371/journal.pone.0175275. eCollection 2017.
3
免疫功能在热带环境中存在差异,但在三个全年繁殖的赤道云雀种群的繁殖期间并未下调。
Oecologia. 2021 Nov;197(3):599-614. doi: 10.1007/s00442-021-05052-0. Epub 2021 Oct 12.
4
Bertalanffy-Pütter models for avian growth.贝塔朗菲-普特模型在鸟类生长中的应用。
PLoS One. 2021 Apr 26;16(4):e0250515. doi: 10.1371/journal.pone.0250515. eCollection 2021.
5
Patterns of annual and seasonal immune investment in a temporal reproductive opportunist.季节性和年度免疫投资模式在一个时间性生殖机会主义者中的表现。
Proc Biol Sci. 2020 Jun 24;287(1929):20192993. doi: 10.1098/rspb.2019.2993.
6
Macroimmunology: The drivers and consequences of spatial patterns in wildlife immune defence.宏观免疫学:野生动物免疫防御空间模式的驱动因素和后果。
J Anim Ecol. 2020 Apr;89(4):972-995. doi: 10.1111/1365-2656.13166. Epub 2020 Jan 26.
7
Seasonal differences in baseline innate immune function are better explained by environment than annual cycle stage in a year-round breeding tropical songbird.在全年繁殖的热带鸣禽中,环境比年周期阶段更能解释基础先天免疫功能的季节性差异。
J Anim Ecol. 2019 Apr;88(4):537-553. doi: 10.1111/1365-2656.12948. Epub 2019 Feb 6.
8
Immune function and blood parasite infections impact stopover ecology in passerine birds.免疫功能和血液寄生虫感染影响雀形目鸟类的中途停留生态。
Oecologia. 2018 Dec;188(4):1011-1024. doi: 10.1007/s00442-018-4291-3. Epub 2018 Nov 1.
Environmental proxies of antigen exposure explain variation in immune investment better than indices of pace of life.
抗原暴露的环境替代指标比生活节奏指标能更好地解释免疫投入的差异。
Oecologia. 2015 Jan;177(1):281-90. doi: 10.1007/s00442-014-3136-y. Epub 2014 Nov 11.
4
Island life shapes the physiology and life history of eastern bluebirds (Sialia sialis).岛屿生活塑造了东部蓝知更鸟(Sialia sialis)的生理特征和生活史。
Physiol Biochem Zool. 2014 Jan-Feb;87(1):172-82. doi: 10.1086/670811. Epub 2013 May 16.
5
Genetic and phenotypically flexible components of seasonal variation in immune function.免疫功能季节性变化的遗传和表型灵活成分。
J Exp Biol. 2014 May 1;217(Pt 9):1510-8. doi: 10.1242/jeb.097105. Epub 2014 Jan 16.
6
Offspring pay sooner, parents pay later: experimental manipulation of body mass reveals trade-offs between immune function, reproduction and survival.后代早付出,父母晚付出:体重的实验操作揭示了免疫功能、繁殖和生存之间的权衡。
Front Zool. 2013 Dec 17;10(1):77. doi: 10.1186/1742-9994-10-77.
7
Immune indexes of larks from desert and temperate regions show weak associations with life history but stronger links to environmental variation in microbial abundance.来自沙漠和温带地区的百灵鸟的免疫指标与生活史之间的关联较弱,但与微生物丰度的环境变化之间的联系更强。
Physiol Biochem Zool. 2012 Sep-Oct;85(5):504-15. doi: 10.1086/666988. Epub 2012 Jul 31.
8
Do immunological, endocrine and metabolic traits fall on a single Pace-of-Life axis? Covariation and constraints among physiological systems.免疫、内分泌和代谢特征是否落在单一的生活节奏轴上?生理系统的协变和约束。
J Evol Biol. 2012 Sep;25(9):1864-76. doi: 10.1111/j.1420-9101.2012.02574.x. Epub 2012 Jul 23.
9
Intense flight and endotoxin injection elicit similar effects on leukocyte distributions but dissimilar effects on plasma-based immunological indices in pigeons.剧烈飞行和内毒素注射对鸽子白细胞分布产生相似的影响,但对基于血浆的免疫学指标产生不同的影响。
J Exp Biol. 2012 Nov 1;215(Pt 21):3734-41. doi: 10.1242/jeb.072264. Epub 2012 Jul 18.
10
Immune function in a free-living bird varies over the annual cycle, but seasonal patterns differ between years.自由生活鸟类的免疫功能随年周期而变化,但季节性模式在不同年份存在差异。
Oecologia. 2012 Nov;170(3):605-18. doi: 10.1007/s00442-012-2339-3. Epub 2012 May 6.