Suppr超能文献

台湾社区儿童和青少年注意力缺陷多动障碍症状及其相关因素的一年轨迹分析

One-year trajectory analysis for ADHD symptoms and its associated factors in community-based children and adolescents in Taiwan.

作者信息

Tsai Chia-Jui, Chen Yi-Lung, Lin Hsiang-Yuan, Gau Susan Shur-Fen

机构信息

Department of Psychiatry, Taichung Veterans General Hospital, Taichung, Taiwan.

Graduate Institute of Clinical Medicine, College of Medicine, National Taiwan University, Taipei, Taiwan.

出版信息

Child Adolesc Psychiatry Ment Health. 2017 Jun 1;11:28. doi: 10.1186/s13034-017-0165-4. eCollection 2017.

Abstract

BACKGROUND

Several longitudinal studies have shown the partial symptomatic persistence of attention-deficit hyperactivity disorder (ADHD) in clinic-based samples. However, little is known about the patterns and trajectories of ADHD symptoms in community-based populations.

METHODS

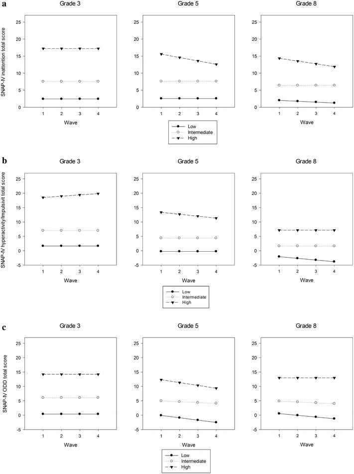
To differentiate developmental trajectories of ADHD symptoms over 1 year, with a four-wave quarterly follow-up in children and adolescents in the community of Taiwan, we conducted this prospective study in 1281 students in grade 3, 5, and 8. All the students in the regular classes rather than special educational classes were eligible and recruited to the study. Inattention, hyperactivity-impulsivity, and opposition-defiance were rated by parent reports on the Chinese version of the Swanson, Nolan, and Pelham Version IV Scale (SNAP-IV). Group-based trajectory modeling and multivariable regression analyses were used to explore the individual, family and social factors associated with differential trajectories.

RESULTS

Trajectories were classified as Low (29.9-40.6%), Intermediate (52.5-58.5%) and High (6.9-12.5%) based on the symptom severity of ADHD symptoms assessed by the SNAP-IV. The proportion of children in the high ADHD trajectory might approximately reflect the prevalence of ADHD in Taiwan. The following factors differentiated High from Low trajectories: male gender, more externalizing problems, fewer prosocial behaviors, school dysfunction, more home behavioral problems, and less perceived family support.

CONCLUSIONS

Our findings that the concurrent conditions of emotional or externalizing problems, as well as impaired school and home function at baseline, might differentiate the high ADHD symptoms trajectory from others could help developing the specific measures for managing high ADHD symptoms over time in a school setting.

摘要

背景

多项纵向研究表明,在基于临床样本的注意力缺陷多动障碍(ADHD)患者中,部分症状会持续存在。然而,对于社区人群中ADHD症状的模式和轨迹却知之甚少。

方法

为了区分ADHD症状在1年中的发展轨迹,我们在台湾社区的儿童和青少年中进行了一项前瞻性研究,对1281名三年级、五年级和八年级的学生进行了为期一年的四波季度随访。所有普通班级而非特殊教育班级的学生均符合条件并被纳入研究。采用中文版的Swanson、Nolan和Pelham第四版量表(SNAP-IV),由家长报告评定注意力不集中、多动冲动和对立违抗情况。使用基于组的轨迹建模和多变量回归分析来探索与不同轨迹相关的个体、家庭和社会因素。

结果

根据SNAP-IV评估的ADHD症状严重程度,轨迹被分为低(29.9 - 40.6%)、中(52.5 - 58.5%)和高(6.9 - 12.5%)三类。处于高ADHD轨迹的儿童比例可能大致反映了台湾ADHD的患病率。以下因素可区分高轨迹和低轨迹:男性、更多的外化问题、更少的亲社会行为、学校功能障碍、更多的家庭行为问题以及更少的家庭支持感。

结论

我们的研究结果表明,情绪或外化问题的并发情况以及基线时学校和家庭功能受损,可能会使高ADHD症状轨迹与其他轨迹区分开来,这有助于制定在学校环境中随着时间推移管理高ADHD症状的具体措施。

https://cdn.ncbi.nlm.nih.gov/pmc/blobs/bcb4/5452532/8b3f9222ea3f/13034_2017_165_Fig1_HTML.jpg

文献AI研究员

20分钟写一篇综述,助力文献阅读效率提升50倍。

立即体验

用中文搜PubMed

大模型驱动的PubMed中文搜索引擎

马上搜索

文档翻译

学术文献翻译模型,支持多种主流文档格式。

立即体验