Suppr超能文献

各种清洁和消毒产品对PCR核糖体分型010、014和027孢子的有效性。

Effectiveness of various cleaning and disinfectant products on spores of PCR ribotypes 010, 014 and 027.

作者信息

Kenters N, Huijskens E G W, de Wit S C J, Sanders I G J M, van Rosmalen J, Kuijper E J, Voss A

机构信息

Department of Infection Prevention and Control, Albert Schweitzer Hospital, Dordrecht, The Netherlands.

Department of Medical Microbiology, Albert Schweitzer Hospital, Dordrecht, The Netherlands.

出版信息

Antimicrob Resist Infect Control. 2017 Jun 3;6:54. doi: 10.1186/s13756-017-0210-3. eCollection 2017.

Abstract

BACKGROUND

In healthcare facilities, infections spread by transmission of bacterial spores. Appropriate sporicidal disinfectants are needed to prevent development of clusters and outbreaks. In this study different cleaning/disinfecting wipes and sprays were tested for their efficacy against spores of distinctive PCR ribotypes.

METHODS

Four different products were tested; 1) hydrogen peroxide 1.5%; 2) glucoprotamin 1.5%; 3) a mixture of ethanol, propane and N-alkyl amino propyl glycine; and 4) a mixture of didecyldimonium chloride, benzalkonium chloride, polyaminopropyl, biguanide and dimenthicone as active ingredients. Tiles were contaminated with a test solution containing a concentration of 5x10CFU/ml spores of strains belonging to PCR ribotypes 010, 014 or 027. The tiles were left to dry for an hour and then wiped or sprayed with one of the sprays or wipes as intended by the manufacturers. When products neutralized after 5 min, microbiological cultures and ATP measures were performed.

RESULTS

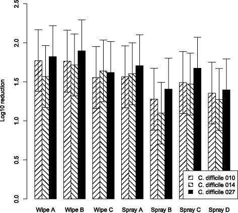
Irrespective of the disinfection method, the microbial count log reduction of PCR ribotype 010 was highest, followed by the reduction of 014 and 027. Overall, the wipes performed better than the sprays with the same active ingredient. On average, although not significantly, a difference in relative light units (RLU) reduction between the wipes and sprays was found. The wipes had a higher RLU log reduction, but no significant difference for RLU reduction was observed between the different strains ( = 0.16).

CONCLUSION

spores of PCR ribotypes 014 and 027 strains are more difficult to eradicate than non-toxigenic PCR ribotype 010. In general, impregnated cleaning/disinfection wipes performed better than ready-to-use sprays. Wipes with hydrogen peroxide (1.5%) showed the highest bactericidal activity.

摘要

背景

在医疗机构中,细菌孢子传播会导致感染扩散。需要合适的杀孢子消毒剂来预防聚集性感染和疫情爆发。在本研究中,对不同的清洁/消毒湿巾和喷雾针对不同PCR核糖型的孢子的功效进行了测试。

方法

测试了四种不同产品;1)1.5%过氧化氢;2)1.5%葡糖鱼精蛋白;3)乙醇、丙烷和N-烷基氨基丙基甘氨酸的混合物;4)以双癸基二甲基氯化铵、苯扎氯铵、聚氨基丙基双胍和聚二甲基硅氧烷为活性成分的混合物。将瓷砖用含有浓度为5×10CFU/ml属于PCR核糖型010、014或027菌株的孢子的测试溶液污染。瓷砖晾干一小时,然后按照制造商的说明用其中一种喷雾或湿巾擦拭或喷洒。当产品在5分钟后中和后,进行微生物培养和ATP测量。

结果

无论采用何种消毒方法,PCR核糖型0(10)的微生物数量对数减少量最高,其次是014和027的减少量。总体而言,具有相同活性成分的湿巾比喷雾表现更好。平均而言,虽然不显著,但发现湿巾和喷雾在相对光单位(RLU)减少方面存在差异。湿巾的RLU对数减少量更高,但不同菌株之间的RLU减少量没有显著差异((P = 0.16))。

结论

PCR核糖型014和027菌株的孢子比非产毒PCR核糖型010更难根除。一般来说,浸渍清洁/消毒湿巾比即用型喷雾表现更好。含1.5%过氧化氢的湿巾显示出最高的杀菌活性。

https://cdn.ncbi.nlm.nih.gov/pmc/blobs/5a7f/5457610/309024da42b3/13756_2017_210_Fig1_HTML.jpg

文献AI研究员

20分钟写一篇综述,助力文献阅读效率提升50倍。

立即体验

用中文搜PubMed

大模型驱动的PubMed中文搜索引擎

马上搜索

文档翻译

学术文献翻译模型,支持多种主流文档格式。

立即体验