Suppr超能文献

接受替比夫定抗病毒治疗的HBeAg阳性慢性乙型肝炎患者中Treg/Th17平衡与HBeAg变化的关系:一项纵向观察性研究。

Relationship of Treg/Th17 balance with HBeAg change in HBeAg-positive chronic hepatitis B patients receiving telbivudine antiviral treatment: A longitudinal observational study.

作者信息

Yang Xiaoling, Li Jia, Liu Jie, Gao Min, Zhou Li, Lu Wei

机构信息

Department of Infection Disease, Baoji People's Hospital. Baoji, Shaanxi Province Tianjin Second People's Hospital, Tianjin Institute of Hepatology. Tianjin, China.

出版信息

Medicine (Baltimore). 2017 Jun;96(23):e7064. doi: 10.1097/MD.0000000000007064.

Abstract

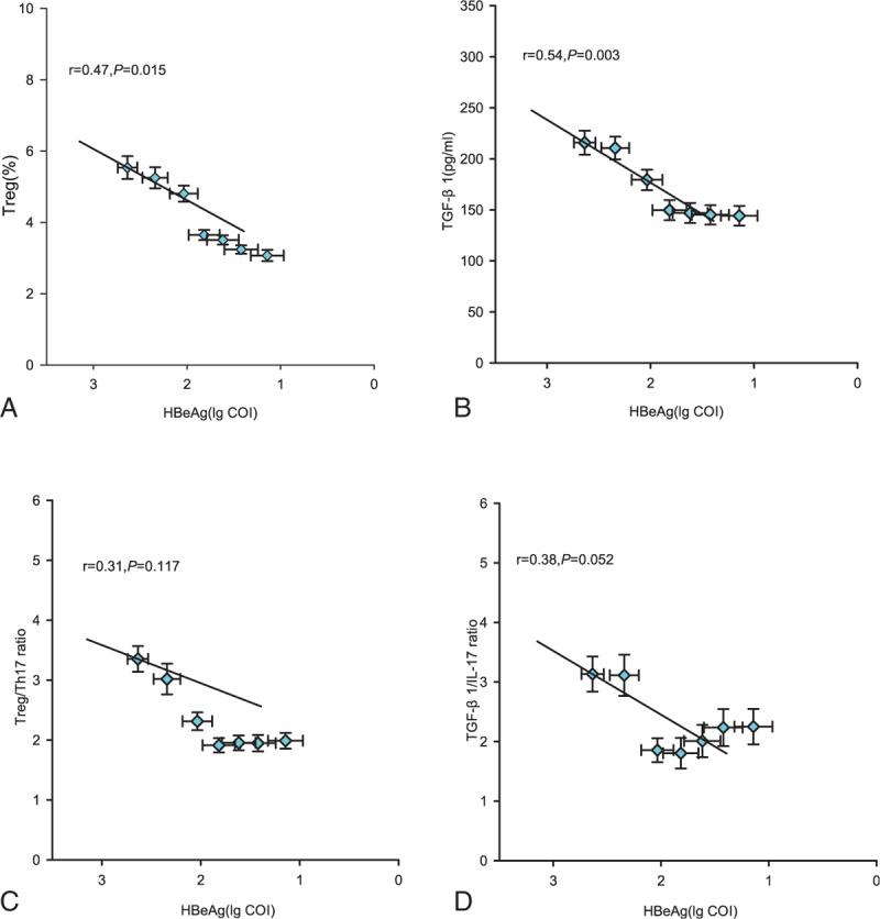
Telbivudine (LdT) is an orally L-nucleoside with potent and specific antihepatitis B virus (HBV) activity. The higher rate of hepatitis B e antigen (HBeAg) seroconversion of LdT treatment than other anti-HBV agents suggests a potential immunomodulatory effect. The aim of the study was to investigate the changes of regulatory T cell (Treg)/interleukin (IL)-17-producing CD4+T helper (Th17) balance during LdT treatment and to discuss the relationship of Treg/Th17 balance with HBeAg change in HBeAg-positive chronic hepatitis B (CHB) patients receiving LdT antiviral treatment. Twenty-seven HBeAg-positive CHB patients received LdT for 24 weeks and the percentages of Tregs and cells (Th17 cells) in peripheral blood as well as the serum TGF-β1 and IL-17 levels in these patients were longitudinally analyzed. We found that the frequencies of Tregs and Th17 cells in peripheral blood as well as the serum TGF-β1 and IL-17 levels increased significantly in CHB patients compared with healthy controls. During the LdT treatment, the Tregs frequency and TGF-β1 level tended to decrease, and Th17 cells frequency and IL-17 level showed a reverse "V"-type change. The frequency of Tregs and the ratio of Treg/Th17 were significantly lower in the HBeAg loss group than those in the HBeAg no-loss group at the baseline. More important, the Tregs frequency and TGF-β1 level were both positively correlated with HBeAg level during the LdT treatment for 24 weeks. Our data suggest that the lower Tregs frequency and Treg/Th17 ratio at the baseline of LdT treatment, the more likely to get the HBeAg loss. HBeAg negative can be predicted using changes in Tregs frequency and TGF-β1 level during LdT treatment in CHB patients. Maybe we could provide the immunology marker for exploring the mechanism of the higher HBeAg seroconversion rate of LdT therapy.

摘要

替比夫定(LdT)是一种口服的L核苷,具有强效且特异的抗乙型肝炎病毒(HBV)活性。与其他抗HBV药物相比,LdT治疗的乙肝e抗原(HBeAg)血清学转换率更高,提示其可能具有免疫调节作用。本研究旨在探讨LdT治疗期间调节性T细胞(Treg)/产生白细胞介素(IL)-17的CD4+辅助性T细胞(Th17)平衡的变化,并讨论Treg/Th17平衡与接受LdT抗病毒治疗的HBeAg阳性慢性乙型肝炎(CHB)患者HBeAg变化的关系。27例HBeAg阳性CHB患者接受LdT治疗24周,纵向分析这些患者外周血中Tregs和细胞(Th17细胞)的百分比以及血清TGF-β1和IL-17水平。我们发现,与健康对照相比,CHB患者外周血中Tregs和Th17细胞的频率以及血清TGF-β1和IL-17水平显著升高。在LdT治疗期间,Tregs频率和TGF-β1水平呈下降趋势,而Th17细胞频率和IL-17水平呈反向“V”型变化。基线时,HBeAg消失组的Tregs频率和Treg/Th17比值显著低于HBeAg未消失组。更重要的是,在LdT治疗24周期间,Tregs频率和TGF-β1水平均与HBeAg水平呈正相关。我们的数据表明,LdT治疗基线时Tregs频率和Treg/Th17比值越低,HBeAg消失的可能性越大。利用CHB患者LdT治疗期间Tregs频率和TGF-β1水平的变化可以预测HBeAg阴性。也许我们可以为探索LdT治疗HBeAg血清学转换率较高的机制提供免疫学标志物。

https://cdn.ncbi.nlm.nih.gov/pmc/blobs/dab8/5466219/04fb30d682b0/medi-96-e7064-g004.jpg

文献AI研究员

20分钟写一篇综述,助力文献阅读效率提升50倍。

立即体验

用中文搜PubMed

大模型驱动的PubMed中文搜索引擎

马上搜索

文档翻译

学术文献翻译模型,支持多种主流文档格式。

立即体验