Suppr超能文献

通过一种长程且可调谐的电耦合方案实现自旋扭矩纳米振荡器的相互同步。

Mutual synchronization of spin torque nano-oscillators through a long-range and tunable electrical coupling scheme.

机构信息

Unité Mixte de Physique CNRS, Thales, Université Paris-Sud, Université Paris-Saclay, Palaiseau 91767, France.

Spintronics Research Center, National Institute of Advanced Industrial Science and Technology (AIST), Tsukuba, Ibaraki 305-8568, Japan.

出版信息

Nat Commun. 2017 Jun 12;8:15825. doi: 10.1038/ncomms15825.

Abstract

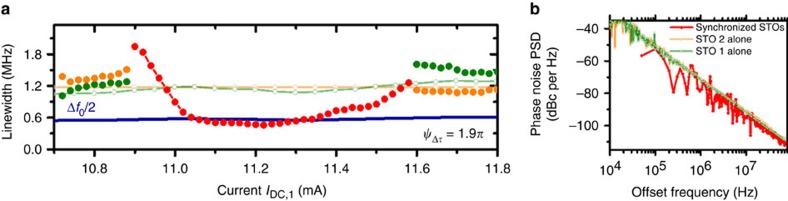
The concept of spin-torque-driven high-frequency magnetization dynamics, allows the potential construction of complex networks of non-linear dynamical nanoscale systems, combining the field of spintronics and the study of non-linear systems. In the few previous demonstrations of synchronization of several spin-torque oscillators, the short-range nature of the magnetic coupling that was used has largely hampered a complete control of the synchronization process. Here we demonstrate the successful mutual synchronization of two spin-torque oscillators with a large separation distance through their long range self-emitted microwave currents. This leads to a strong improvement of both the emitted power and the linewidth. The full control of the synchronized state is achieved at the nanoscale through two active spin transfer torques, but also externally through an electrical delay line. These additional levels of control of the synchronization capability provide a new approach to develop spin-torque oscillator-based nanoscale microwave-devices going from microwave-sources to bio-inspired networks.

摘要

自旋扭矩驱动的高频磁化动力学的概念,允许复杂的非线性动力学纳米系统网络的潜在构建,结合自旋电子学领域和非线性系统的研究。在之前几个自旋扭矩振荡器同步的演示中,所使用的磁耦合的短程性质在很大程度上阻碍了对同步过程的完全控制。在这里,我们通过它们的远程自发射微波电流成功地实现了两个自旋扭矩振荡器的相互同步,其分离距离很大。这导致发射功率和线宽都有很大的提高。通过两个主动自旋转移转矩在纳米尺度上实现了对同步状态的完全控制,也可以通过电延迟线在外部进行控制。这种对同步能力的额外控制水平为开发基于自旋扭矩振荡器的纳米级微波器件提供了一种新方法,从微波源到受生物启发的网络。

https://cdn.ncbi.nlm.nih.gov/pmc/blobs/0177/5472782/15490845cd30/ncomms15825-f1.jpg

文献AI研究员

20分钟写一篇综述,助力文献阅读效率提升50倍。

立即体验

用中文搜PubMed

大模型驱动的PubMed中文搜索引擎

马上搜索

文档翻译

学术文献翻译模型,支持多种主流文档格式。

立即体验