• 文献检索
  • 文档翻译
  • 深度研究
  • 学术资讯
  • Suppr Zotero 插件Zotero 插件
  • 邀请有礼
  • 套餐&价格
  • 历史记录
应用&插件
Suppr Zotero 插件Zotero 插件浏览器插件Mac 客户端Windows 客户端微信小程序
定价
高级版会员购买积分包购买API积分包
服务
文献检索文档翻译深度研究API 文档MCP 服务
关于我们
关于 Suppr公司介绍联系我们用户协议隐私条款
关注我们

Suppr 超能文献

核心技术专利:CN118964589B侵权必究
粤ICP备2023148730 号-1Suppr @ 2026

文献检索

告别复杂PubMed语法,用中文像聊天一样搜索,搜遍4000万医学文献。AI智能推荐,让科研检索更轻松。

立即免费搜索

文件翻译

保留排版,准确专业,支持PDF/Word/PPT等文件格式,支持 12+语言互译。

免费翻译文档

深度研究

AI帮你快速写综述,25分钟生成高质量综述,智能提取关键信息,辅助科研写作。

立即免费体验

表没食子儿茶素没食子酸酯通过限制线粒体DNA(mtDNA)释放减轻髋部骨折诱导的急性肺损伤。

Epigallocatechin Gallate Attenuates Hip Fracture-Induced Acute Lung Injury by Limiting Mitochondrial DNA (mtDNA) Release.

作者信息

Zhao Xiao-Dan, Liu Hao, Li Tao, Gong Quan, Zhang Wen-Li

机构信息

Department of Orthopedics, West China Hospital of Sichuan University, Chengdu, Sichuan, China (mainland).

出版信息

Med Sci Monit. 2017 Jul 12;23:3367-3372. doi: 10.12659/msm.902477.

DOI:10.12659/msm.902477
PMID:28698540
原文链接:https://pmc.ncbi.nlm.nih.gov/articles/PMC5519220/
Abstract

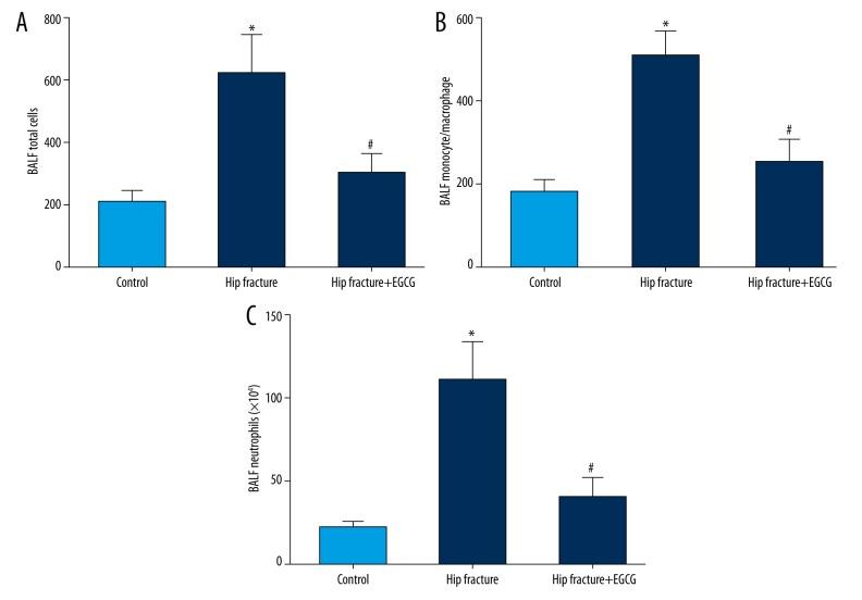
BACKGROUND To study the protective effects and explore the mechanism of epigallocatechingallate (EGCG) on the hip fracture-induced acute lung injury. MATERIAL AND METHODS Thirty male Sprague-Dawley (SD) rats were randomly divided into the control group, hip fracture group, and hip fracture + EGCG (10 mg/Kg) group. After 24 h, blood samples, bronchoalveolar lavage fluid (BALF), and lung tissue were collected. Serum mitochondrial DNA (mtDNA) was measured by RT-PCR and BALF was used to perform cytological analysis and enzyme-linked immunosorbent assay (ELISA) assay. Lung tissue was used to evaluate the injury level. RESULTS EGCG significantly reduced the hip fracture-induced high level of serum mtDNA (p<0.05). HE staining showed protective effects of EGCG. Lower lung injury score and wet/dry ratio were identified in the hip fracture + EGCG group than in the hip fracture group (p<0.05). We found significantly lower levels of infiltration of inflammatory cells and production of inflammatory cytokines in the BALF of the hip fracture + EGCG group than in the hip fracture group (p<0.05). CONCLUSIONS Our study found that EGCG had protective effects on hip fracture-induced acute lung injury and suggests that EGCG exerts its protective effects through limiting the release of mtDNA. Our results provide a novel pharmacological agent to attenuate hip fracture-induced acute lung injury, as well as a potential theory to better explain the anti-inflammatory property of EGCG.

摘要

背景 研究表没食子儿茶素没食子酸酯(EGCG)对髋部骨折所致急性肺损伤的保护作用并探讨其机制。材料与方法 将30只雄性Sprague-Dawley(SD)大鼠随机分为对照组、髋部骨折组和髋部骨折+EGCG(10mg/Kg)组。24小时后,采集血样、支气管肺泡灌洗液(BALF)和肺组织。通过RT-PCR检测血清线粒体DNA(mtDNA),并使用BALF进行细胞学分析和酶联免疫吸附测定(ELISA)。肺组织用于评估损伤程度。结果 EGCG显著降低了髋部骨折所致的血清mtDNA高水平(p<0.05)。HE染色显示EGCG具有保护作用。与髋部骨折组相比,髋部骨折+EGCG组的肺损伤评分和湿/干比更低(p<0.05)。我们发现,与髋部骨折组相比,髋部骨折+EGCG组BALF中的炎症细胞浸润水平和炎症细胞因子产生水平显著更低(p<0.05)。结论 我们的研究发现EGCG对髋部骨折所致急性肺损伤具有保护作用,并表明EGCG通过限制mtDNA的释放发挥其保护作用。我们的结果提供了一种减轻髋部骨折所致急性肺损伤的新型药物,以及一种更好地解释EGCG抗炎特性的潜在理论。

https://cdn.ncbi.nlm.nih.gov/pmc/blobs/4d1f/5519220/4d8c924ae573/medscimonit-23-3367-g004.jpg
https://cdn.ncbi.nlm.nih.gov/pmc/blobs/4d1f/5519220/aae6231cbb18/medscimonit-23-3367-g001.jpg
https://cdn.ncbi.nlm.nih.gov/pmc/blobs/4d1f/5519220/e04764423bf9/medscimonit-23-3367-g002.jpg
https://cdn.ncbi.nlm.nih.gov/pmc/blobs/4d1f/5519220/4e8b714372c6/medscimonit-23-3367-g003.jpg
https://cdn.ncbi.nlm.nih.gov/pmc/blobs/4d1f/5519220/4d8c924ae573/medscimonit-23-3367-g004.jpg
https://cdn.ncbi.nlm.nih.gov/pmc/blobs/4d1f/5519220/aae6231cbb18/medscimonit-23-3367-g001.jpg
https://cdn.ncbi.nlm.nih.gov/pmc/blobs/4d1f/5519220/e04764423bf9/medscimonit-23-3367-g002.jpg
https://cdn.ncbi.nlm.nih.gov/pmc/blobs/4d1f/5519220/4e8b714372c6/medscimonit-23-3367-g003.jpg
https://cdn.ncbi.nlm.nih.gov/pmc/blobs/4d1f/5519220/4d8c924ae573/medscimonit-23-3367-g004.jpg

相似文献

1
Epigallocatechin Gallate Attenuates Hip Fracture-Induced Acute Lung Injury by Limiting Mitochondrial DNA (mtDNA) Release.表没食子儿茶素没食子酸酯通过限制线粒体DNA(mtDNA)释放减轻髋部骨折诱导的急性肺损伤。
Med Sci Monit. 2017 Jul 12;23:3367-3372. doi: 10.12659/msm.902477.
2
Epigallocatechin gallate attenuates mitochondrial DNA-induced inflammatory damage in the development of ventilator-induced lung injury.没食子酸表没食子儿茶素酯减轻呼吸机相关性肺损伤中线粒体 DNA 诱导的炎症损伤。
Phytomedicine. 2018 Sep 15;48:120-128. doi: 10.1016/j.phymed.2018.05.017. Epub 2018 Jun 2.
3
Mitochondrial DNA-Induced Inflammatory Responses and Lung Injury in Thermal Injury Rat Model: Protective Effect of Epigallocatechin Gallate.线粒体DNA诱导的热损伤大鼠模型中的炎症反应和肺损伤:表没食子儿茶素没食子酸酯的保护作用
J Burn Care Res. 2017 Sep/Oct;38(5):304-311. doi: 10.1097/BCR.0000000000000501.
4
[Protective Effect and Its Possible Mechanism of Ulinastatin on Lung Injury Induced by Hip Fracture].乌司他丁对髋部骨折所致肺损伤的保护作用及其可能机制
Sichuan Da Xue Xue Bao Yi Xue Ban. 2017 Nov;48(6):869-872.
5
Epigallocatechin-3-gallate alleviates paraquat-induced acute lung injury and inhibits upregulation of toll-like receptors.没食子儿茶素没食子酸酯减轻百草枯诱导的急性肺损伤并抑制 Toll 样受体的上调。
Life Sci. 2017 Feb 1;170:25-32. doi: 10.1016/j.lfs.2016.11.021. Epub 2016 Nov 24.
6
Epigallocatechin-3-gallate ameliorates seawater aspiration-induced acute lung injury via regulating inflammatory cytokines and inhibiting JAK/STAT1 pathway in rats.表没食子儿茶素-3-没食子酸酯通过调节炎性细胞因子和抑制大鼠JAK/STAT1信号通路改善海水吸入性急性肺损伤。
Mediators Inflamm. 2014;2014:612593. doi: 10.1155/2014/612593. Epub 2014 Feb 20.
7
Significance of Serum mtDNA Concentration in Lung Injury Induced by Hip Fracture.血清线粒体DNA浓度在髋部骨折所致肺损伤中的意义
Shock. 2015 Jul;44(1):52-7. doi: 10.1097/SHK.0000000000000366.
8
[Heparin attenuates lipopolysaccharide-induced acute lung injury by inhibiting nitric oxide synthase and transforming growth factor -β/Smad signaling pathway].[肝素通过抑制一氧化氮合酶和转化生长因子-β/Smad信号通路减轻脂多糖诱导的急性肺损伤]
Zhonghua Wei Zhong Bing Ji Jiu Yi Xue. 2014 Nov;26(11):810-4. doi: 10.3760/cma.j.issn.2095-4352.2014.11.009.
9
The Immediate Intramedullary Nailing Surgery Increased the Mitochondrial DNA Release That Aggravated Systemic Inflammatory Response and Lung Injury Induced by Elderly Hip Fracture.即刻髓内钉手术增加了线粒体DNA释放,加重了老年髋部骨折所致的全身炎症反应和肺损伤。
Mediators Inflamm. 2015;2015:587378. doi: 10.1155/2015/587378. Epub 2015 Jul 27.
10
Yohimbine protects against endotoxin-induced acute lung injury by blockade of alpha 2A adrenergic receptor in rats.育亨宾通过阻断大鼠α2A 肾上腺素能受体预防内毒素诱导的急性肺损伤。
Chin Med J (Engl). 2011 Apr;124(7):1069-74.

引用本文的文献

1
Role of released mitochondrial DNA in acute lung injury.释放的线粒体 DNA 在急性肺损伤中的作用。
Front Immunol. 2022 Aug 18;13:973089. doi: 10.3389/fimmu.2022.973089. eCollection 2022.
2
Epigallocatechin Gallate Relieved PM2.5-Induced Lung Fibrosis by Inhibiting Oxidative Damage and Epithelial-Mesenchymal Transition through AKT/mTOR Pathway.没食子儿茶素没食子酸酯通过 AKT/mTOR 通路抑制氧化损伤和上皮间质转化缓解 PM2.5 诱导的肺纤维化。
Oxid Med Cell Longev. 2022 Jun 6;2022:7291774. doi: 10.1155/2022/7291774. eCollection 2022.
3
Potential protective mechanisms of green tea polyphenol EGCG against COVID-19.

本文引用的文献

1
Potential Mechanism of Post-Acute Aortic Dissection Inflammatory Responses: The Role of mtDNA from Activated Platelets.急性主动脉夹层炎症反应的潜在机制:活化血小板线粒体DNA的作用。
Cardiology. 2016;135(4):228-235. doi: 10.1159/000446870. Epub 2016 Aug 17.
2
Epigallocatechin gallate inhibits urate crystals-induced peritoneal inflammation in C57BL/6 mice.表没食子儿茶素没食子酸酯抑制尿酸盐结晶诱导的C57BL/6小鼠腹膜炎症。
Mol Nutr Food Res. 2016 Oct;60(10):2297-2303. doi: 10.1002/mnfr.201600106. Epub 2016 Jun 16.
3
Epigallocatechin gallate attenuates cardiopulmonary bypass-associated lung injury.
绿茶多酚表没食子儿茶素没食子酸酯(EGCG)对2019冠状病毒病(COVID-19)的潜在保护机制
Trends Food Sci Technol. 2021 Aug;114:11-24. doi: 10.1016/j.tifs.2021.05.023. Epub 2021 May 25.
4
Natural product derived phytochemicals in managing acute lung injury by multiple mechanisms.天然产物衍生的植物化学物质通过多种机制管理急性肺损伤。
Pharmacol Res. 2021 Jan;163:105224. doi: 10.1016/j.phrs.2020.105224. Epub 2020 Sep 29.
5
The Role of Autophagy and the Chemokine (C-X-C Motif) Ligand 16 During Acute Lung Injury in Mice.《自噬和趋化因子(C-X-C 基序)配体 16 在小鼠急性肺损伤中的作用》
Med Sci Monit. 2018 Apr 20;24:2404-2412. doi: 10.12659/msm.906016.
表没食子儿茶素没食子酸酯减轻体外循环相关的肺损伤。
J Surg Res. 2016 Apr;201(2):313-25. doi: 10.1016/j.jss.2015.11.007. Epub 2015 Nov 11.
4
Protective role of epigallocatechin-3-gallate in health and disease: A perspective.表没食子儿没食子酸酯在健康与疾病中的保护作用:综述
Biomed Pharmacother. 2016 Mar;78:50-59. doi: 10.1016/j.biopha.2015.12.013. Epub 2016 Jan 11.
5
Epigallocatechin gallate and mitochondria-A story of life and death.表没食子儿茶素没食子酸酯与线粒体——生与死的故事
Pharmacol Res. 2016 Feb;104:70-85. doi: 10.1016/j.phrs.2015.12.027. Epub 2015 Dec 29.
6
The Immediate Intramedullary Nailing Surgery Increased the Mitochondrial DNA Release That Aggravated Systemic Inflammatory Response and Lung Injury Induced by Elderly Hip Fracture.即刻髓内钉手术增加了线粒体DNA释放,加重了老年髋部骨折所致的全身炎症反应和肺损伤。
Mediators Inflamm. 2015;2015:587378. doi: 10.1155/2015/587378. Epub 2015 Jul 27.
7
Mitochondrial modulation by Epigallocatechin 3-Gallate ameliorates cisplatin induced renal injury through decreasing oxidative/nitrative stress, inflammation and NF-kB in mice.表没食子儿茶素-3-没食子酸酯对线粒体的调节作用通过降低小鼠的氧化/硝化应激、炎症反应和核因子κB来改善顺铂诱导的肾损伤。
PLoS One. 2015 Apr 15;10(4):e0124775. doi: 10.1371/journal.pone.0124775. eCollection 2015.
8
Mitochondrial DNA released by trauma induces neutrophil extracellular traps.创伤释放的线粒体DNA诱导中性粒细胞胞外诱捕网形成。
PLoS One. 2015 Mar 16;10(3):e0120549. doi: 10.1371/journal.pone.0120549. eCollection 2015.
9
Significance of Serum mtDNA Concentration in Lung Injury Induced by Hip Fracture.血清线粒体DNA浓度在髋部骨折所致肺损伤中的意义
Shock. 2015 Jul;44(1):52-7. doi: 10.1097/SHK.0000000000000366.
10
Mitochondrial DNA induces inflammation and increases TLR9/NF-κB expression in lung tissue.线粒体 DNA 可诱导肺部组织炎症,并增加 TLR9/NF-κB 的表达。
Int J Mol Med. 2014 Apr;33(4):817-24. doi: 10.3892/ijmm.2014.1650. Epub 2014 Feb 10.