Suppr超能文献

弹性蛋白衍生肽通过诱导滑膜细胞的炎症反应参与人类颞下颌关节紊乱症的发病过程。

Elastin‑derived peptides are involved in the processes of human temporomandibular disorder by inducing inflammatory responses in synovial cells.

作者信息

Kobayashi Kazuhiko, Jokaji Rei, Miyazawa-Hira Mayuko, Takatsuka Shigeyuki, Tanaka Akira, Ooi Kazuhiro, Nakamura Hiroyuki, Kawashiri Shuichi

机构信息

Department of Oral and Maxillofacial Surgery, Kanazawa University Graduate School of Medical Science, Kanazawa, Ishikawa 920‑8640, Japan.

Department of Oral and Maxillofacial Surgery, Public Central Hospital of Matto Ishikawa, Hakusan, Ishikawa 924-8588, Japan.

出版信息

Mol Med Rep. 2017 Sep;16(3):3147-3154. doi: 10.3892/mmr.2017.7012. Epub 2017 Jul 15.

Abstract

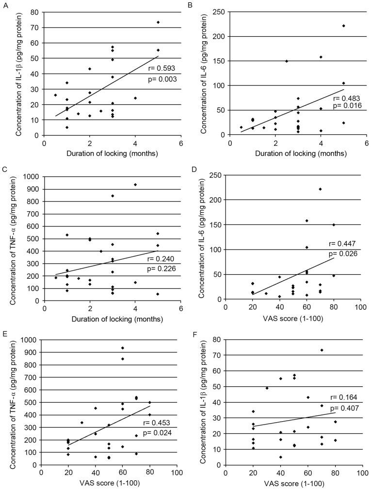
Temporomandibular joint dysfunction (TMD) is a collection of clinical symptoms that involve masticatory muscles and the temporomandibular joint (TMJ). Common symptoms include limited jaw motion and joint sound/pain, along with TMJ disc displacement. TMD is frequently associated with synovitis, a chronic inflammation of the synovium. Fibroblast‑like synovial cells have been identified to produce several inflammatory mediators and may have an important role in the progression of TMJ inflammation. Degradation of the extracellular matrix molecule elastin may lead to the release of bioactive peptides. The present study aimed to explore the role of elastin‑derived peptides (EDPs) in human temporomandibular disorders. Therefore, interleukin‑6 (IL‑6) expression in the synovial fluid obtained from patients with TMD correlated significantly with two clinical parameters, specifically TMJ locking and pain/jaw function on a visual analog scale (VAS). To the best of our knowledge, this is the first study to determine that the concentration of EDPs in synovial fluid from patients with TMD may also be significantly correlated with the duration of TMJ locking, the VAS score and IL‑6 expression. In vitro, EDPs act on human TMJ synovial cells to promote upregulation of IL‑6 and the elastin‑degrading enzyme matrix metalloproteinase‑12 (MMP‑12). The upregulation of IL‑6 and MMP‑12 expression by EDPs may be mediated through elastin‑binding proteins (EBP) and a protein kinase A signalling cascade. These findings suggest a model for inflammation in the TMJ where EDPs are generated by harmful mechanical stimuli, induce both a pro‑inflammatory cascade and increase expression of MMP‑12 through activation of the EBP signalling cascade. This may lead to further increases in EDP levels, establishing a positive feedback loop leading to chronic inflammation in the TMJ. Therefore, significantly elevated levels of EDPs and IL‑6 in the synovial fluid of the TMJ may be indicators of the pathological conditions of the joint.

摘要

颞下颌关节紊乱病(TMD)是一组涉及咀嚼肌和颞下颌关节(TMJ)的临床症状。常见症状包括下颌运动受限、关节弹响/疼痛,以及TMJ盘移位。TMD常与滑膜炎相关,滑膜炎是滑膜的一种慢性炎症。已确定成纤维样滑膜细胞可产生多种炎症介质,并且可能在TMJ炎症进展中起重要作用。细胞外基质分子弹性蛋白的降解可能导致生物活性肽的释放。本研究旨在探讨弹性蛋白衍生肽(EDPs)在人类颞下颌关节疾病中的作用。因此,从TMD患者获得的滑液中白细胞介素 - 6(IL - 6)表达与两个临床参数显著相关,具体而言,即TMJ锁定以及视觉模拟量表(VAS)上的疼痛/下颌功能。据我们所知,这是第一项确定TMD患者滑液中EDPs浓度也可能与TMJ锁定持续时间、VAS评分和IL - 6表达显著相关的研究。在体外,EDPs作用于人类TMJ滑膜细胞,促进IL - 6和弹性蛋白降解酶基质金属蛋白酶 - 12(MMP - 12)的上调。EDPs对IL - 6和MMP - 12表达的上调可能通过弹性蛋白结合蛋白(EBP)和蛋白激酶A信号级联介导。这些发现提示了一个TMJ炎症模型,其中有害机械刺激产生EDPs,通过激活EBP信号级联诱导促炎级联反应并增加MMP - 12的表达。这可能导致EDP水平进一步升高,建立一个正反馈回路,导致TMJ慢性炎症。因此,TMJ滑液中EDPs和IL - 6水平的显著升高可能是关节病理状况的指标。

https://cdn.ncbi.nlm.nih.gov/pmc/blobs/d398/5548023/c2408e6b6aeb/MMR-16-03-3147-g00.jpg

文献AI研究员

20分钟写一篇综述,助力文献阅读效率提升50倍。

立即体验

用中文搜PubMed

大模型驱动的PubMed中文搜索引擎

马上搜索

文档翻译

学术文献翻译模型,支持多种主流文档格式。

立即体验