Suppr超能文献

商业散养肉鸡的活动范围行为1:与鸡群变异性相关的因素。

Ranging Behaviour of Commercial Free-Range Broiler Chickens 1: Factors Related to Flock Variability.

作者信息

Taylor Peta S, Hemsworth Paul H, Groves Peter J, Gebhardt-Henrich Sabine G, Rault Jean-Loup

机构信息

Animal Welfare Science Centre, Faculty of Veterinary and Agricultural Sciences, University of Melbourne, Parkville, VIC 3010, Australia.

Poultry Research Foundation, School of Veterinary Science, Faculty of Science, The University of Sydney, Camden, NSW 2570, Australia.

出版信息

Animals (Basel). 2017 Jul 20;7(7):54. doi: 10.3390/ani7070054.

Abstract

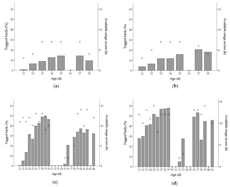
Little is known about the ranging behaviour of chickens. Understanding ranging behaviour is required to improve management and shed and range design to ensure optimal ranging opportunities. Using Radio Frequency Identification technology, we tracked 300 individual broiler chickens in each of four mixed sex ROSS 308 flocks on one commercial farm across two seasons. Ranging behaviour was tracked from the first day of range access (21 days of age) until 35 days of age in winter and 44 days of age in summer. Range use was higher than previously reported from scan sampling studies. More chickens accessed the range in summer (81%) than winter (32%; < 0.05). On average, daily frequency and duration of range use was greater in summer flocks (4.4 ± 0.1 visits for a total of 26.3 ± 0.8 min/day) than winter flocks (3.2 ± 0.2 visits for a total of 7.9 ± 1.0 min/day). Seasonal differences were only marginally explained by weather conditions and may reflect the reduction in range exposure between seasons (number of days, hours per day, and time of day). Specific times of the day ( < 0.01) and pop-holes were favoured ( < 0.05). We provide evidence of relationships between ranging and external factors that may explain ranging preferences.

摘要

关于鸡的活动范围行为,我们所知甚少。了解鸡的活动范围行为对于改善管理以及鸡舍和活动范围的设计至关重要,以确保有最佳的活动范围机会。我们使用射频识别技术,在一个商业农场的两个季节里,对四个罗斯308混合性别鸡群中的每群300只个体肉鸡进行了追踪。从可以进入活动范围的第一天(21日龄)开始追踪活动范围行为,直至冬季35日龄和夏季44日龄。活动范围的利用率高于之前扫描抽样研究报告的结果。与冬季(32%;<0.05)相比,夏季有更多的鸡进入活动范围(81%)。平均而言,夏季鸡群每天进入活动范围的频率和时长(4.4±0.1次,总计26.3±0.8分钟/天)高于冬季鸡群(3.2±0.2次,总计7.9±1.0分钟/天)。季节差异仅在一定程度上由天气状况解释,可能反映了不同季节间活动范围暴露的减少(天数、每天小时数和一天中的时间)。一天中的特定时间(<0.01)和活动门受到青睐(<0.05)。我们提供了活动范围行为与外部因素之间关系的证据,这些因素可能解释活动范围偏好。

https://cdn.ncbi.nlm.nih.gov/pmc/blobs/75fd/5532569/d5d44bc3675a/animals-07-00054-g001.jpg

相似文献

2
Ranging Behaviour of Commercial Free-Range Broiler Chickens 2: Individual Variation.
Animals (Basel). 2017 Jul 20;7(7):55. doi: 10.3390/ani7070055.
3
Frequent range visits further from the shed relate positively to free-range broiler chicken welfare.
Animal. 2020 Jan;14(1):138-149. doi: 10.1017/S1751731119001514. Epub 2019 Jul 8.
7
Relationship between welfare and individual ranging behaviour in commercial free-range laying hens.
Animal. 2018 Nov;12(11):2356-2364. doi: 10.1017/S1751731118000022. Epub 2018 Jan 24.
8
Outdoor stocking density in free-range laying hens: radio-frequency identification of impacts on range use.
Animal. 2017 Jan;11(1):121-130. doi: 10.1017/S1751731116001154. Epub 2016 Jun 22.
9
High-throughput phenotyping to characterise range use behaviour in broiler chickens.
Animal. 2024 Mar;18(3):101099. doi: 10.1016/j.animal.2024.101099. Epub 2024 Feb 1.
10
Associations between animal welfare indicators and Campylobacter spp. in broiler chickens under commercial settings: A case study.
Prev Vet Med. 2017 Nov 1;147:186-193. doi: 10.1016/j.prevetmed.2017.09.005. Epub 2017 Sep 15.

引用本文的文献

1
Enhancing Range Use in Free-Range Laying Hen Systems: The Impact of Vegetation Cover over Time.
Animals (Basel). 2025 Apr 23;15(9):1204. doi: 10.3390/ani15091204.
2
5
Laying Hens: Why Smothering and Not Surviving?-A Literature Review.
Animals (Basel). 2024 May 21;14(11):1518. doi: 10.3390/ani14111518.
7
Welfare of broilers on farm.
EFSA J. 2023 Feb 21;21(2):e07788. doi: 10.2903/j.efsa.2023.7788. eCollection 2023 Feb.

本文引用的文献

3
Outdoor stocking density in free-range laying hens: radio-frequency identification of impacts on range use.
Animal. 2017 Jan;11(1):121-130. doi: 10.1017/S1751731116001154. Epub 2016 Jun 22.
5
The impact of broiler production system practices on consumer perceptions of animal welfare.
Poult Sci. 2013 Dec;92(12):3080-95. doi: 10.3382/ps.2013-03334.
7
Factors affecting the prevalence of foot pad dermatitis, hock burn and breast burn in broiler chicken.
Br Poult Sci. 2007 Jun;48(3):264-75. doi: 10.1080/00071660701371341.
8
Feed and strain effects on the use of outdoor areas by broilers.
Br Poult Sci. 2003 May;44(2):161-9. doi: 10.1080/0007166031000088389.

文献AI研究员

20分钟写一篇综述,助力文献阅读效率提升50倍。

立即体验

用中文搜PubMed

大模型驱动的PubMed中文搜索引擎

马上搜索

文档翻译

学术文献翻译模型,支持多种主流文档格式。

立即体验