Suppr超能文献

小麦多重合成衍生物:热胁迫耐受性适应性状的新来源。

Wheat multiple synthetic derivatives: a new source for heat stress tolerance adaptive traits.

作者信息

Elbashir Awad Ahmed Elawad, Gorafi Yasir Serag Alnor, Tahir Izzat Sidahmed Ali, Kim June-Sik, Tsujimoto Hisashi

机构信息

Graduate School of Agricultural Sciences, Tottori University, Tottori 680-8553, Japan.

Agricultural Research Corporation, PO Box 126, Wad Medani, Sudan.

出版信息

Breed Sci. 2017 Jun;67(3):248-256. doi: 10.1270/jsbbs.16204. Epub 2017 May 23.

Abstract

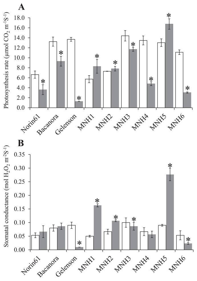
Heat stress is detrimental to wheat ( L.) productivity. In this study, we aimed to select heat-tolerant plants from a multiple synthetic derivatives (MSD) population and evaluate their agronomic and physiological traits. We selected six tolerant plants from the population with the background of the cultivar 'Norin 61' (N61) and established six MNH (MSD population of N61 selected as heat stress-tolerant) lines. We grew these lines with N61 in the field and growth chamber. In the field, we used optimum and late sowings to ensure plant exposure to heat. In the growth chamber, in addition to N61, we used the heat-tolerant cultivars 'Gelenson' and 'Bacanora'. We confirmed that MNH2 and MNH5 lines acquired heat tolerance. These lines had higher photosynthesis and stomata conductance and exhibited no reduction in grain yield and biomass under heat stress compared to N61. We noticed that N61 had relatively good adaptability to heat stress. Our results indicate that the MSD population includes the diversity of and is a promising resource to uncover useful quantitative traits derived from this wild species. Selected lines could be useful for heat stress tolerance breeding.

摘要

热胁迫对小麦(Triticum aestivum L.)的生产力有害。在本研究中,我们旨在从多个合成衍生物(MSD)群体中筛选耐热植株,并评估其农艺和生理性状。我们从以品种‘Norin 61’(N61)为背景的群体中挑选了6株耐受植株,并建立了6个MNH(选作耐热的N61的MSD群体)株系。我们将这些株系与N61一起种植在田间和生长室中。在田间,我们采用适期播种和晚播以确保植株遭受热胁迫。在生长室中,除了N61,我们还使用了耐热品种‘Gelenson’和‘Bacanora’。我们证实MNH2和MNH5株系获得了耐热性。与N61相比,这些株系具有更高的光合速率和气孔导度,并且在热胁迫下籽粒产量和生物量没有降低。我们注意到N61对热胁迫具有相对较好的适应性。我们的结果表明,MSD群体包含了多样性,是发掘源自该野生种的有用数量性状的有前景的资源。所选株系可用于耐热性育种。

https://cdn.ncbi.nlm.nih.gov/pmc/blobs/bdad/5515318/aab28ce04527/67_16204_1.jpg

文献检索

告别复杂PubMed语法,用中文像聊天一样搜索,搜遍4000万医学文献。AI智能推荐,让科研检索更轻松。

立即免费搜索

文件翻译

保留排版,准确专业,支持PDF/Word/PPT等文件格式,支持 12+语言互译。

免费翻译文档

深度研究

AI帮你快速写综述,25分钟生成高质量综述,智能提取关键信息,辅助科研写作。

立即免费体验