Suppr超能文献

maresin 1通过激活Nrf-2介导的HO-1信号通路抑制氧化应激来改善肺缺血/再灌注损伤。

Maresin 1 Ameliorates Lung Ischemia/Reperfusion Injury by Suppressing Oxidative Stress via Activation of the Nrf-2-Mediated HO-1 Signaling Pathway.

作者信息

Sun Quanchao, Wu You, Zhao Feng, Wang Jianjun

机构信息

Department of Thoracic Surgery, Union Hospital, Tongji Medical College, Huazhong University of Science and Technology, 1277 JieFang Avenue, Wuhan 430022, China.

Department of Gastrointestinal Surgery, Union Hospital, Tongji Medical College, Huazhong University of Science and Technology, 1277 JieFang Avenue, Wuhan 430022, China.

出版信息

Oxid Med Cell Longev. 2017;2017:9634803. doi: 10.1155/2017/9634803. Epub 2017 Jul 2.

Abstract

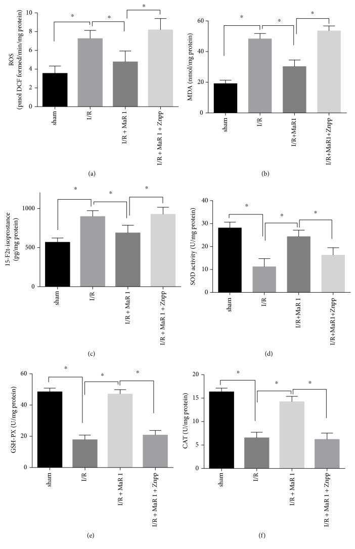
Lung ischemia/reperfusion (I/R) injury occurs in various clinical conditions and heavily damaged lung function. Oxidative stress reaction and antioxidant enzymes play a pivotal role in the etiopathogenesis of lung I/R injury. In the current study, we investigated the impact of Maresin 1 on lung I/R injury and explored the possible mechanism involved in this process. MaR 1 ameliorated I/R-induced lung injury score, wet/dry weight ratio, myeloperoxidase, tumor necrosis factor, bronchoalveolar lavage fluid (BALF) leukocyte count, BALF neutrophil ratio, and pulmonary permeability index levels in lung tissue. MaR 1 significantly reduced ROS, methane dicarboxylic aldehyde, and 15-F2t-isoprostane generation and restored antioxidative enzyme (superoxide dismutase, glutathione peroxidase, and catalase) activities. Administration of MaR 1 improved the expression of nuclear Nrf-2 and cytosolic HO-1 in I/R-treated lung tissue. Furthermore, we also found that the protective effects of MaR 1 on lung tissue injury and oxidative stress were reversed by HO-1 activity inhibitor, Znpp-IX. Nrf-2 transcription factor inhibitor, brusatol, significantly decreased MaR 1-induced nuclear Nrf-2 and cytosolic HO-1 expression. In conclusion, these results indicate that MaR 1 protects against lung I/R injury through suppressing oxidative stress. The mechanism is partially explained by activation of the Nrf-2-mediated HO-1 signaling pathway.

摘要

肺缺血/再灌注(I/R)损伤发生于多种临床情况中,并严重损害肺功能。氧化应激反应和抗氧化酶在肺I/R损伤的发病机制中起关键作用。在本研究中,我们调查了玛瑞辛1对肺I/R损伤的影响,并探讨了该过程中可能涉及的机制。玛瑞辛1改善了I/R诱导的肺损伤评分、湿/干重比、髓过氧化物酶、肿瘤坏死因子、支气管肺泡灌洗液(BALF)白细胞计数、BALF中性粒细胞比例以及肺组织中的肺通透性指数水平。玛瑞辛1显著降低了活性氧(ROS)、甲二醛和15-F2t-异前列腺素的生成,并恢复了抗氧化酶(超氧化物歧化酶、谷胱甘肽过氧化物酶和过氧化氢酶)的活性。给予玛瑞辛1可改善I/R处理的肺组织中核Nrf-2和胞质HO-1的表达。此外,我们还发现,HO-1活性抑制剂Znpp-IX可逆转玛瑞辛1对肺组织损伤和氧化应激的保护作用。Nrf-2转录因子抑制剂布律赛托显著降低了玛瑞辛1诱导的核Nrf-2和胞质HO-1表达。总之,这些结果表明,玛瑞辛1通过抑制氧化应激来保护肺免受I/R损伤。其机制部分可通过Nrf-2介导的HO-1信号通路的激活来解释。

https://cdn.ncbi.nlm.nih.gov/pmc/blobs/234f/5511669/7d9cf46ab711/OMCL2017-9634803.001.jpg

文献AI研究员

20分钟写一篇综述,助力文献阅读效率提升50倍。

立即体验

用中文搜PubMed

大模型驱动的PubMed中文搜索引擎

马上搜索

文档翻译

学术文献翻译模型,支持多种主流文档格式。

立即体验