Dipartimento di Medicina Interna e Specialità Mediche, Università di Genova, Viale Benedetto XV 6, 16132, Genoa, Italy.
Ospedale Policlinico San Martino, Largo R. Benzi 10, 16132, Genoa, Italy.
Respir Res. 2017 Jul 28;18(1):145. doi: 10.1186/s12931-017-0627-5.
Muscarinic-receptor antagonists and β-adrenoceptor agonists are used, alone or in combination, as first-line treatment for chronic obstructive pulmonary disease. Both drugs decrease airway smooth muscle tone by post-junctional mechanisms but they may have opposing effects on pre-junctional acetylcholine (ACh)-release.
We studied the effects of the muscarinic-receptor antagonist glycopyrronium (GLY), the β-adrenoceptor agonist indacaterol (IND) and their combination on electrically-induced ACh-release and contractile response in isolated bovine trachealis. Data were analyzed by paired t-test and analysis of variance for repeated or independent measures with Newmann-Keuls post-hoc test when appropriate.
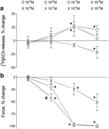
GLY 10 M decreased contractile response by 19 ± 6% (p = 0.010) without altering ACh-release. GLY 10 M and 10 M almost abolished contractile responses even if the ACh-release was increased by 27 ± 19% (p < 0.001) and 20 ± 8% (p = 0.004), respectively. IND 10 M had no significant effects on contractile response and ACh-release, whereas IND 10 M reduced contractile response by 24 ± 12% (p = 0.002) without altering ACh-release. IND 10 M decreased contractile response by 51 ± 17% (p < 0.001) and ACh-release by 22 ± 11% (p = 0.004). Co-incubation with GLY 10 M and IND 10 M did not alter ACh-release but inhibited contractile response by 41 ± 8% (p < 0.001). The latter effect was greater than with GLY 10 M, or IND 10 M, or IND 10 M given separately (p < 0.001 for all). The increment of ACh-release caused by GLY was attenuated by IND 10 M, though this did not affect contractile response.
At equimolar concentration, GLY alone attenuates airway smooth muscle contraction more than IND, despite an increased ACh-release. Combination of GLY with IND at submaximal concentrations has more than additive effect suggesting a synergistic post-junctional effect. Adding GLY to IND provides a greater inhibitory effect on airway smooth muscle contraction than increasing IND concentration.
毒蕈碱受体拮抗剂和β肾上腺素能受体激动剂单独或联合用作慢性阻塞性肺疾病的一线治疗药物。这两种药物通过突触后机制降低气道平滑肌张力,但它们可能对突触前乙酰胆碱(ACh)释放有相反的影响。
我们研究了毒蕈碱受体拮抗剂格隆溴铵(GLY)、β肾上腺素能受体激动剂茚达特罗(IND)及其组合对离体牛气管平滑肌电诱导 ACh 释放和收缩反应的影响。采用配对 t 检验和重复或独立测量的方差分析进行数据分析,适当情况下采用 Newman-Keuls 事后检验。
GLY 10 M 降低收缩反应 19 ± 6%(p = 0.010),而不改变 ACh 释放。GLY 10 M 和 10 M 几乎完全消除了收缩反应,即使 ACh 释放增加 27 ± 19%(p < 0.001)和 20 ± 8%(p = 0.004)。IND 10 M 对收缩反应和 ACh 释放没有显著影响,而 IND 10 M 降低收缩反应 24 ± 12%(p = 0.002),而不改变 ACh 释放。IND 10 M 降低收缩反应 51 ± 17%(p < 0.001)和 ACh 释放 22 ± 11%(p = 0.004)。同时孵育 GLY 10 M 和 IND 10 M 不改变 ACh 释放,但抑制收缩反应 41 ± 8%(p < 0.001)。后一种作用大于 GLY 10 M、IND 10 M 或 IND 10 M 单独给药(所有 p < 0.001)。GLY 引起的 ACh 释放增加被 IND 10 M 减弱,尽管这并不影响收缩反应。
在等摩尔浓度下,GLY 单独使用比 IND 更能减弱气道平滑肌收缩,尽管 ACh 释放增加。在亚最大浓度下将 GLY 与 IND 联合使用具有协同的突触后作用,其效果大于单独使用 GLY 或 IND,或单独使用 IND。在 IND 中加入 GLY 可产生比增加 IND 浓度更大的抑制气道平滑肌收缩作用。