Suppr超能文献

狄拉克磁振子节线环在准二维量子磁体中的研究。

Dirac Magnon Nodal Loops in Quasi-2D Quantum Magnets.

机构信息

Perimeter Institute for Theoretical Physics, 31 Caroline St. N., Waterloo, Ontario, N2L 2Y5, Canada.

出版信息

Sci Rep. 2017 Jul 31;7(1):6931. doi: 10.1038/s41598-017-07276-8.

Abstract

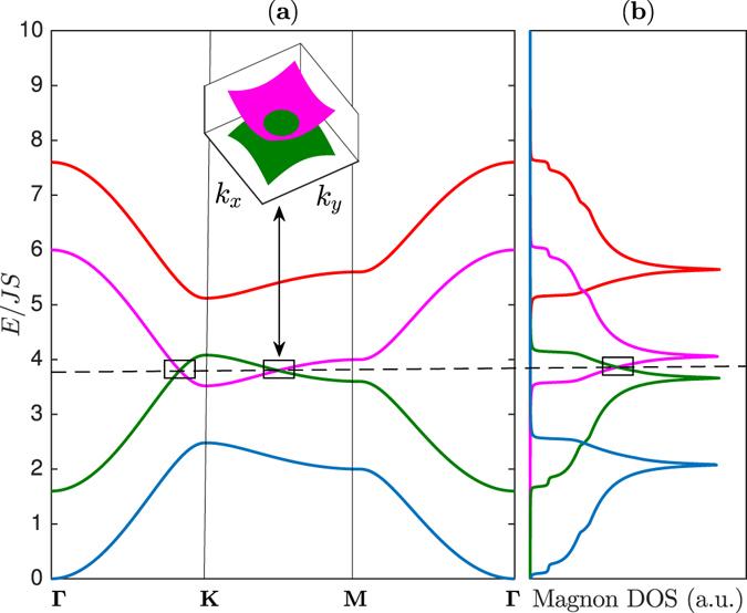
In this report, we propose a new concept of one-dimensional (1D) closed lines of Dirac magnon nodes in two-dimensional (2D) momentum space of quasi-2D quantum magnetic systems. They are termed "2D Dirac magnon nodal-line loops". We utilize the bilayer honeycomb ferromagnets with intralayer coupling J and interlayer coupling J , which is realizable in the honeycomb chromium compounds CrX (X ≡ Br, Cl, and I). However, our results can also exist in other layered quasi-2D quantum magnetic systems. Here, we show that the magnon bands of the bilayer honeycomb ferromagnets overlap for J  ≠ 0 and form 1D closed lines of Dirac magnon nodes in 2D momentum space. The 2D Dirac magnon nodal-line loops are topologically protected by inversion and time-reversal symmetry. Furthermore, we show that they are robust against weak Dzyaloshinskii-Moriya interaction Δ  < J and possess chiral magnon edge modes.

摘要

在本报告中,我们提出了二维(2D)准二维量子磁体中狄拉克磁子节点的一维(1D)闭合线的新概念。我们称之为“2D 狄拉克磁子节线环”。我们利用双层蜂窝铁磁体,其层内耦合为 J,层间耦合为 J ,这在蜂窝状铬化合物 CrX(X≡Br、Cl 和 I)中是可行的。然而,我们的结果也可以存在于其他层状准二维量子磁体中。在这里,我们表明双层蜂窝铁磁体的磁子能带在 J≠0 时重叠,并在 2D 动量空间中形成 1D 狄拉克磁子节点的闭合线。2D 狄拉克磁子节线环由反转和时间反演对称性保护。此外,我们表明它们对弱 Dzyaloshinskii-Moriya 相互作用Δ<J 具有鲁棒性,并具有手性磁子边缘模式。

https://cdn.ncbi.nlm.nih.gov/pmc/blobs/7f20/5537300/cf1ca68d73ab/41598_2017_7276_Fig1_HTML.jpg

文献AI研究员

20分钟写一篇综述,助力文献阅读效率提升50倍。

立即体验

用中文搜PubMed

大模型驱动的PubMed中文搜索引擎

马上搜索

文档翻译

学术文献翻译模型,支持多种主流文档格式。

立即体验