Suppr超能文献

胸腹不同步:健康人、慢性阻塞性肺疾病患者及间质性肺疾病患者中的两种方法

Thoracoabdominal asynchrony: Two methods in healthy, COPD, and interstitial lung disease patients.

作者信息

Pereira Mayra Caleffi, Porras Desiderio Cano, Lunardi Adriana Claudia, da Silva Cibele Cristine Berto Marques, Barbosa Renata Cléia Claudino, Cardenas Letícia Zumpano, Pletsch Renata, Ferreira Jeferson George, de Castro Isac, de Carvalho Celso Ricardo Fernandes, Caruso Pedro, de Carvalho Carlos Roberto Ribeiro, de Albuquerque André Luis Pereira

机构信息

Pulmonary Division, Heart Institute (Incor), Hospital das Clínicas da Faculdade de Medicina da Universidade de São Paulo, São Paulo, Brazil.

Sírio-Libanês Teaching and Research Institute, São Paulo, Brazil.

出版信息

PLoS One. 2017 Aug 2;12(8):e0182417. doi: 10.1371/journal.pone.0182417. eCollection 2017.

Abstract

BACKGROUND

Thoracoabdominal asynchrony is the nonparallel motion of the ribcage and abdomen. It is estimated by using respiratory inductive plethysmography and, recently, using optoelectronic plethysmography; however the agreement of measurements between these 2 techniques is unknown. Therefore, the present study compared respiratory inductive plethysmography with optoelectronic plethysmography for measuring thoracoabdominal asynchrony to see if the measurements were similar or different.

METHODS

27 individuals (9 healthy subjects, 9 patients with interstitial lung disease, and 9 with chronic obstructive pulmonary disease performed 2 cycle ergometer tests with respiratory inductive plethysmography or optoelectronic plethysmography in a random order. Thoracoabdominal asynchrony was evaluated at rest, and at 50% and 75% of maximal workload between the superior ribcage and abdomen using a phase angle.

RESULTS

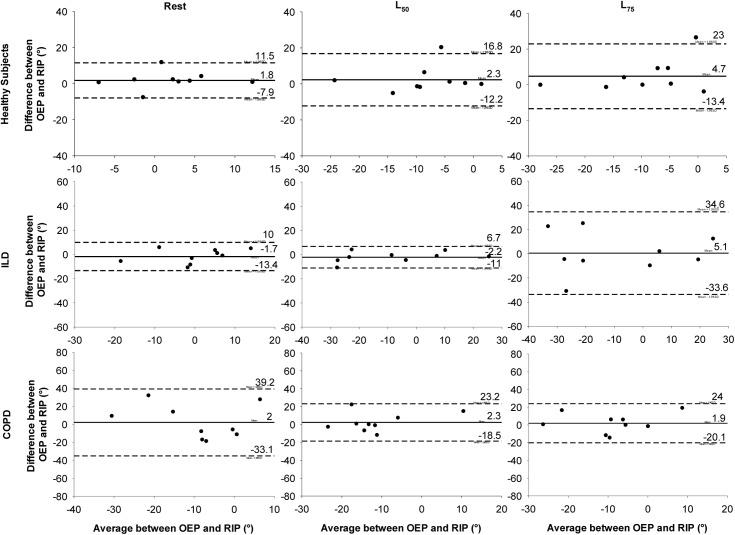
Thoracoabdominal asynchrony values were very similar in both approaches not only at rest but also with exercise, with no statistical difference. There was a good correlation between the methods and the Phase angle values were within the limits of agreement in the Bland-Altman analysis.

CONCLUSION

Thoracoabdominal asynchrony measured by optoelectronic plethysmography and respiratory inductive plethysmography results in similar values and has a satisfactory agreement at rest and even for different exercise intensities in these groups.

摘要

背景

胸腹异步是指胸腔和腹部的非平行运动。它可通过呼吸感应体积描记法进行评估,最近也可使用光电体积描记法进行评估;然而,这两种技术之间测量结果的一致性尚不清楚。因此,本研究比较了呼吸感应体积描记法和光电体积描记法在测量胸腹异步方面的差异,以确定测量结果是相似还是不同。

方法

27名个体(9名健康受试者、9名间质性肺疾病患者和9名慢性阻塞性肺疾病患者)以随机顺序使用呼吸感应体积描记法或光电体积描记法进行了2次自行车测力计测试。使用相角评估上胸腔和腹部在静息状态以及最大工作量的50%和75%时的胸腹异步情况。

结果

两种方法测得的胸腹异步值不仅在静息状态下,而且在运动时都非常相似,无统计学差异。两种方法之间具有良好的相关性,并且在Bland-Altman分析中相角值在一致性界限内。

结论

通过光电体积描记法和呼吸感应体积描记法测量的胸腹异步结果相似,并且在静息状态下以及这些组中不同运动强度时都具有令人满意的一致性。

https://cdn.ncbi.nlm.nih.gov/pmc/blobs/675e/5540557/ff49eee714e1/pone.0182417.g001.jpg

文献检索

告别复杂PubMed语法,用中文像聊天一样搜索,搜遍4000万医学文献。AI智能推荐,让科研检索更轻松。

立即免费搜索

文件翻译

保留排版,准确专业,支持PDF/Word/PPT等文件格式,支持 12+语言互译。

免费翻译文档

深度研究

AI帮你快速写综述,25分钟生成高质量综述,智能提取关键信息,辅助科研写作。

立即免费体验