Suppr超能文献

通过降低氮肥施用量和增加种植密度来提高水稻群体生产力。

Improving rice population productivity by reducing nitrogen rate and increasing plant density.

作者信息

Tian Guangli, Gao Limin, Kong Yali, Hu Xiangyu, Xie Kailiu, Zhang Ruiqing, Ling Ning, Shen Qirong, Guo Shiwei

机构信息

Jiangsu Provincial Key Lab for Organic Waste Utilization, National Engineering Research Center for Organic-based Fertilizers, Jiangsu Collaborative Innovation Center for Solid Organic Waste Resource Utilization, Nanjing Agricultural University, Nanjing, China.

出版信息

PLoS One. 2017 Aug 2;12(8):e0182310. doi: 10.1371/journal.pone.0182310. eCollection 2017.

Abstract

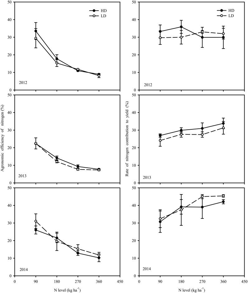
In terms of tillering potential, the aboveground portions of rice are significantly influenced by the nitrogen level (NL) and transplant density (TD). To obtain a suitable combination of NL and TD, five NLs (0, 90, 180, 270 and 360 kg ha-1) and two TDs [high density (HD), 32.5×104 hills ha-1; low density (LD), 25.5×104 hills ha-1] were used in the rice experiments during 2012 to 2014, in Jiangsu, China. The results showed the highest grain yield of rice obtained at HD and LD when N supply was 180 and 270 kg ha-1, respectively. That's because there are more tillers per unit area, a larger leaf biomass fraction of total aboveground biomass, a larger leaf area index (LAI) and a larger canopy photosynthesis potential (CPP) at HD. It can be concluded that, higher rice planting densities resulted in less N inputs, while more N is needed to improve single plant actual tiller ability under low density to offset the reduced planting density. When the NL was more than 180 kg ha-1, the actual tillering ability of a single plant at LD was 20% more than that at HD. Based on these results, the supply of 1 kg N can be replaced by adding approximately 1000 planting hills per hectare. Therefore, adjusting the transplant density could be an efficient method to reduce the amount of nitrogen fertilizer and increase the nitrogen fertilizer use efficiency, which is very conducive to the sustainable development of agriculture.

摘要

就分蘖潜力而言,水稻地上部分受氮水平(NL)和移栽密度(TD)的影响显著。为了获得NL和TD的合适组合,2012年至2014年在中国江苏进行的水稻试验中使用了五个氮水平(0、90、180、270和360千克/公顷)和两个移栽密度[高密度(HD),32.5×10⁴穴/公顷;低密度(LD),25.5×10⁴穴/公顷]。结果表明,当施氮量分别为180千克/公顷和270千克/公顷时,HD和LD处理下水稻的籽粒产量最高。这是因为HD处理下单位面积的分蘖更多,地上生物量中叶生物量所占比例更大,叶面积指数(LAI)更大,冠层光合潜力(CPP)更大。可以得出结论,较高的水稻种植密度导致氮肥投入减少,而在低密度下需要更多的氮肥来提高单株实际分蘖能力,以抵消种植密度降低的影响。当氮水平超过180千克/公顷时,LD处理下单株的实际分蘖能力比HD处理高20%。基于这些结果,每供应1千克氮可以通过每公顷增加约1000个种植穴来替代。因此,调整移栽密度可能是减少氮肥用量和提高氮肥利用效率的有效方法,这对农业的可持续发展非常有利。

https://cdn.ncbi.nlm.nih.gov/pmc/blobs/a870/5540556/735f8ca630f2/pone.0182310.g001.jpg

相似文献

1
Improving rice population productivity by reducing nitrogen rate and increasing plant density.
PLoS One. 2017 Aug 2;12(8):e0182310. doi: 10.1371/journal.pone.0182310. eCollection 2017.
4
[Effects of different baynyardgrass varieties on grain yield formation of rice at different nitrogen application levels.].
Ying Yong Sheng Tai Xue Bao. 2016 Nov 18;27(11):3559-3568. doi: 10.13287/j.1001-9332.201611.015.
6
Optimizing nitrogen management to balance rice yield and environmental risk in the Yangtze River's middle reaches.
Environ Sci Pollut Res Int. 2019 Feb;26(5):4901-4912. doi: 10.1007/s11356-018-3943-5. Epub 2018 Dec 19.

引用本文的文献

4
Sugar Transport and Signaling in Shoot Branching.
Int J Mol Sci. 2024 Dec 9;25(23):13214. doi: 10.3390/ijms252313214.
6
Optimized N application improves N absorption, population dynamics, and ear fruiting traits of wheat.
Front Plant Sci. 2023 Aug 29;14:1199168. doi: 10.3389/fpls.2023.1199168. eCollection 2023.
7
Breeding for Higher Yields of Wheat and Rice through Modifying Nitrogen Metabolism.
Plants (Basel). 2022 Dec 23;12(1):85. doi: 10.3390/plants12010085.
8
Food Security in China: A Brief View of Rice Production in Recent 20 Years.
Foods. 2022 Oct 23;11(21):3324. doi: 10.3390/foods11213324.

本文引用的文献

1
Producing more grain with lower environmental costs.
Nature. 2014 Oct 23;514(7523):486-9. doi: 10.1038/nature13609. Epub 2014 Sep 3.
2
Save our soils.
Nature. 2011 Jun 8;474(7350):151-2. doi: 10.1038/474151a.
3
Photosynthesis, grain yield, and nitrogen utilization in rice and wheat.
Plant Physiol. 2011 Jan;155(1):125-9. doi: 10.1104/pp.110.165076. Epub 2010 Oct 19.
4
Significant acidification in major Chinese croplands.
Science. 2010 Feb 19;327(5968):1008-10. doi: 10.1126/science.1182570. Epub 2010 Feb 11.
5
Reducing environmental risk by improving N management in intensive Chinese agricultural systems.
Proc Natl Acad Sci U S A. 2009 Mar 3;106(9):3041-6. doi: 10.1073/pnas.0813417106. Epub 2009 Feb 17.
6
Identifying and exploiting grain yield genes in rice.
Curr Opin Plant Biol. 2008 Apr;11(2):209-14. doi: 10.1016/j.pbi.2008.01.009. Epub 2008 Mar 17.
7
Cessation of tillering in spring wheat in relation to light interception and red : far-red ratio.
Ann Bot. 2006 Apr;97(4):649-58. doi: 10.1093/aob/mcl020. Epub 2006 Feb 7.
9
Cytokinin oxidase regulates rice grain production.
Science. 2005 Jul 29;309(5735):741-5. doi: 10.1126/science.1113373. Epub 2005 Jun 23.
10
Rice yields decline with higher night temperature from global warming.
Proc Natl Acad Sci U S A. 2004 Jul 6;101(27):9971-5. doi: 10.1073/pnas.0403720101. Epub 2004 Jun 28.

文献AI研究员

20分钟写一篇综述,助力文献阅读效率提升50倍。

立即体验

用中文搜PubMed

大模型驱动的PubMed中文搜索引擎

马上搜索

文档翻译

学术文献翻译模型,支持多种主流文档格式。

立即体验