Suppr超能文献

超声纳米晶表面改性(UNSM)对时效316L不锈钢钝化行为的影响

Effect of Ultrasonic Nano-Crystal Surface Modification (UNSM) on the Passivation Behavior of Aged 316L Stainless Steel.

作者信息

Kim Ki-Tae, Lee Jung-Hee, Kim Young-Sik

机构信息

Research Center for Energy and Clean Technology, School of Materials Science and Engineering, Andong National University, 1375 Gyeongdong-ro, Andong, Gyeongbuk 36729, Korea.

出版信息

Materials (Basel). 2017 Jun 27;10(7):713. doi: 10.3390/ma10070713.

Abstract

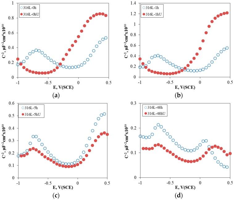
Stainless steels have good corrosion resistance in many environments but welding or aging can decrease their resistance. This work focused on the effect of aging time and ultrasonic nano-crystal surface modification on the passivation behavior of 316L stainless steel. In the case of slightly sensitized 316L stainless steel, increasing the aging time drastically decreased the pitting potential, increased the passive current density, and decreased the resistance of the passive film, even though aging did not form chromium carbide and a chromium depletion zone. This behavior is due to the micro-galvanic corrosion between the matrix and carbon segregated area, and this shows the importance of carbon segregation in grain boundaries to the pitting corrosion resistance of stainless steel, in addition to the formation of the chromium depletion zone. UNSM (Ultrasonic Nano Crystal Surface Modification)-treatment to the slightly sensitized 316L stainless steel increased the pitting potential, decreased the passive current density, and increased the resistance of the passive film. However, in the case of heavily sensitized 316L stainless steel, UNSM-treatment decreased the pitting potential, increased the passive current density, and decreased the resistance of the passive film. This behavior is due to the dual effects of the UNSM-treatment. That is, the UNSM-treatment reduced the carbon segregation, regardless of whether the stainless steel 316L was slightly or heavily sensitized. However, since this treatment made mechanical flaws in the outer surface in the case of the heavily sensitized stainless steel, UNSM-treatment may eliminate chromium carbide, and this flaw can be a pitting initiation site, and therefore decrease the pitting corrosion resistance.

摘要

不锈钢在许多环境中具有良好的耐腐蚀性,但焊接或时效会降低其耐腐蚀性。这项工作聚焦于时效时间和超声纳米晶表面改性对316L不锈钢钝化行为的影响。对于轻度敏化的316L不锈钢,即使时效未形成碳化铬和贫铬区,增加时效时间也会大幅降低点蚀电位,增加钝化电流密度,并降低钝化膜电阻。这种行为是由于基体与碳偏析区域之间的微电偶腐蚀,这表明除了形成贫铬区外,晶界处的碳偏析对不锈钢耐点蚀性也很重要。对轻度敏化的316L不锈钢进行超声纳米晶表面改性(UNSM)处理可提高点蚀电位,降低钝化电流密度,并增加钝化膜电阻。然而,对于重度敏化的316L不锈钢,UNSM处理会降低点蚀电位,增加钝化电流密度,并降低钝化膜电阻。这种行为是由于UNSM处理的双重作用。也就是说,无论316L不锈钢是轻度还是重度敏化,UNSM处理都会减少碳偏析。然而,由于这种处理在重度敏化不锈钢的外表面产生了机械缺陷,UNSM处理可能会消除碳化铬,但这种缺陷可能成为点蚀引发点,从而降低耐点蚀性。

https://cdn.ncbi.nlm.nih.gov/pmc/blobs/2b3e/5551756/c891b5eca79e/materials-10-00713-g001.jpg

文献检索

告别复杂PubMed语法,用中文像聊天一样搜索,搜遍4000万医学文献。AI智能推荐,让科研检索更轻松。

立即免费搜索

文件翻译

保留排版,准确专业,支持PDF/Word/PPT等文件格式,支持 12+语言互译。

免费翻译文档

深度研究

AI帮你快速写综述,25分钟生成高质量综述,智能提取关键信息,辅助科研写作。

立即免费体验