Suppr超能文献

主动脉瘤区域损耗因子及其各向异性的研究。

Investigation on the Regional Loss Factor and Its Anisotropy for Aortic Aneurysms.

作者信息

Shahmansouri Nastaran, Alreshidan Mohammed, Emmott Alexander, Lachapelle Kevin, El-Hamamsy Ismaïl, Cartier Raymond, Leask Richard L, Mongrain Rosaire

机构信息

Department of Mechanical Engineering, McGill University, Montreal, QC H3A 0C3, Canada.

Research Center, Montreal Heart Institute, Montreal, QC H1T 1C8, Canada.

出版信息

Materials (Basel). 2016 Oct 26;9(11):867. doi: 10.3390/ma9110867.

Abstract

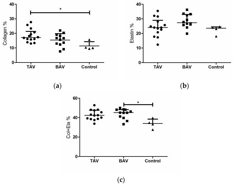
An aortic aneurysm is a lethal arterial disease that mainly occurs in the thoracic and abdominal regions of the aorta. Thoracic aortic aneurysms are prevalent in the root/ascending parts of the aorta and can lead to aortic rupture resulting in the sudden death of patients. Understanding the biomechanical and histopathological changes associated with ascending thoracic aortic aneurysms (ATAAs), this study investigates the mechanical properties of the aorta during strip-biaxial tensile cycles. The loss factor-defined as the ratio of dissipated energy to the energy absorbed during a tensile cycle-the incremental modulus, and their anisotropy indexes were compared with the media fiber compositions for aneurysmal ( = 26) and control ( = 4) human ascending aortas. The aneurysmal aortas were categorized into the aortas with bicuspid aortic valves (BAV) and tricuspid aortic valves (TAV). The strip-biaxial loss factor correlates well with the diameter of the aortas with BAV and TAV (for the axial direction, respectively, ² = 0.71, = 0.0022 and ² = 0.54, = 0.0096). The loss factor increases significantly with patients' age in the BAV group (for the axial direction: ² = 0.45, = 0.0164). The loss factor is isotropic for all TAV quadrants, whereas it is on average only isotropic in the anterior and outer curvature regions of the BAV group. The results suggest that loss factor may be a useful surrogate measure to describe the histopathology of aneurysmal tissue and to demonstrate the differences between ATAAs with the BAV and TAV.

摘要

主动脉瘤是一种致命的动脉疾病,主要发生在主动脉的胸段和腹段。胸主动脉瘤在主动脉根部/升部较为常见,可导致主动脉破裂,致使患者猝死。为了解与升主动脉瘤(ATAAs)相关的生物力学和组织病理学变化,本研究调查了条带双轴拉伸循环过程中主动脉的力学性能。将损耗因子(定义为拉伸循环中耗散能量与吸收能量之比)、增量模量及其各向异性指数与动脉瘤患者(n = 26)和对照患者(n = 4)的升主动脉中膜纤维成分进行比较。动脉瘤主动脉分为伴有二叶式主动脉瓣(BAV)和三叶式主动脉瓣(TAV)的主动脉。条带双轴损耗因子与伴有BAV和TAV的主动脉直径密切相关(轴向方向分别为,R² = 0.71,P = 0.0022和R² = 0.54,P = 0.0096)。在BAV组中,损耗因子随患者年龄显著增加(轴向方向:R² = 0.45,P = 0.0164)。所有TAV象限的损耗因子均为各向同性,而BAV组仅在前部和外曲率区域平均为各向同性。结果表明,损耗因子可能是一种有用的替代指标,可用于描述动脉瘤组织的组织病理学,并显示伴有BAV和TAV的ATAAs之间的差异。

https://cdn.ncbi.nlm.nih.gov/pmc/blobs/19f7/5457275/d7bbbb267d28/materials-09-00867-g009.jpg

文献AI研究员

20分钟写一篇综述,助力文献阅读效率提升50倍。

立即体验

用中文搜PubMed

大模型驱动的PubMed中文搜索引擎

马上搜索

文档翻译

学术文献翻译模型,支持多种主流文档格式。

立即体验