• 文献检索
  • 文档翻译
  • 深度研究
  • 学术资讯
  • Suppr Zotero 插件Zotero 插件
  • 邀请有礼
  • 套餐&价格
  • 历史记录
应用&插件
Suppr Zotero 插件Zotero 插件浏览器插件Mac 客户端Windows 客户端微信小程序
定价
高级版会员购买积分包购买API积分包
服务
文献检索文档翻译深度研究API 文档MCP 服务
关于我们
关于 Suppr公司介绍联系我们用户协议隐私条款
关注我们

Suppr 超能文献

核心技术专利:CN118964589B侵权必究
粤ICP备2023148730 号-1Suppr @ 2026

文献检索

告别复杂PubMed语法,用中文像聊天一样搜索,搜遍4000万医学文献。AI智能推荐,让科研检索更轻松。

立即免费搜索

文件翻译

保留排版,准确专业,支持PDF/Word/PPT等文件格式,支持 12+语言互译。

免费翻译文档

深度研究

AI帮你快速写综述,25分钟生成高质量综述,智能提取关键信息,辅助科研写作。

立即免费体验

基于兰姆波的层析成像技术用于板结构孔边腐蚀监测

Lamb-Wave-Based Tomographic Imaging Techniques for Hole-Edge Corrosion Monitoring in Plate Structures.

作者信息

Wang Dengjiang, Zhang Weifang, Wang Xiangyu, Sun Bo

机构信息

School of Reliability and Systems Engineering, Beihang University, No. 37 Xueyuan Road, Haidian District, Beijing 100191, China.

出版信息

Materials (Basel). 2016 Nov 12;9(11):916. doi: 10.3390/ma9110916.

DOI:10.3390/ma9110916
PMID:28774041
原文链接:https://pmc.ncbi.nlm.nih.gov/articles/PMC5457213/
Abstract

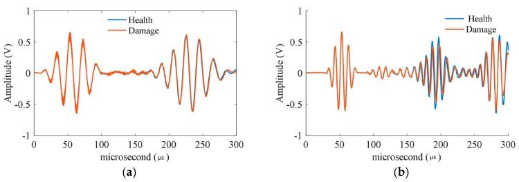
This study presents a novel monitoring method for hole-edge corrosion damage in plate structures based on Lamb wave tomographic imaging techniques. An experimental procedure with a cross-hole layout using 16 piezoelectric transducers (PZTs) was designed. The A0 mode of the Lamb wave was selected, which is sensitive to thickness-loss damage. The iterative algebraic reconstruction technique (ART) method was used to locate and quantify the corrosion damage at the edge of the hole. Hydrofluoric acid with a concentration of 20% was used to corrode the specimen artificially. To estimate the effectiveness of the proposed method, the real corrosion damage was compared with the predicted corrosion damage based on the tomographic method. The results show that the Lamb-wave-based tomographic method can be used to monitor the hole-edge corrosion damage accurately.

摘要

本研究提出了一种基于兰姆波层析成像技术的板结构孔边腐蚀损伤监测新方法。设计了一种使用16个压电换能器(PZT)的交叉孔布局实验程序。选择了对厚度损失损伤敏感的兰姆波A0模式。采用迭代代数重建技术(ART)方法对孔边缘的腐蚀损伤进行定位和量化。使用浓度为20%的氢氟酸对试样进行人工腐蚀。为评估所提方法的有效性,将实际腐蚀损伤与基于层析成像方法预测的腐蚀损伤进行了比较。结果表明,基于兰姆波的层析成像方法可用于准确监测孔边腐蚀损伤。

https://cdn.ncbi.nlm.nih.gov/pmc/blobs/87e3/5457213/58bd78d01b11/materials-09-00916-g015.jpg
https://cdn.ncbi.nlm.nih.gov/pmc/blobs/87e3/5457213/2c2d4b833820/materials-09-00916-g001.jpg
https://cdn.ncbi.nlm.nih.gov/pmc/blobs/87e3/5457213/97bc9b001301/materials-09-00916-g002.jpg
https://cdn.ncbi.nlm.nih.gov/pmc/blobs/87e3/5457213/0d3ca4e074a6/materials-09-00916-g003.jpg
https://cdn.ncbi.nlm.nih.gov/pmc/blobs/87e3/5457213/b1209a54c709/materials-09-00916-g004.jpg
https://cdn.ncbi.nlm.nih.gov/pmc/blobs/87e3/5457213/df5b8d2dbe68/materials-09-00916-g005.jpg
https://cdn.ncbi.nlm.nih.gov/pmc/blobs/87e3/5457213/331e7eafff97/materials-09-00916-g006.jpg
https://cdn.ncbi.nlm.nih.gov/pmc/blobs/87e3/5457213/84a228537d55/materials-09-00916-g007.jpg
https://cdn.ncbi.nlm.nih.gov/pmc/blobs/87e3/5457213/12338bb7c8b4/materials-09-00916-g008.jpg
https://cdn.ncbi.nlm.nih.gov/pmc/blobs/87e3/5457213/c6853236f81a/materials-09-00916-g009a.jpg
https://cdn.ncbi.nlm.nih.gov/pmc/blobs/87e3/5457213/949a7dfd9aed/materials-09-00916-g010.jpg
https://cdn.ncbi.nlm.nih.gov/pmc/blobs/87e3/5457213/e364fa8afba0/materials-09-00916-g011.jpg
https://cdn.ncbi.nlm.nih.gov/pmc/blobs/87e3/5457213/1f75c997e1ad/materials-09-00916-g012.jpg
https://cdn.ncbi.nlm.nih.gov/pmc/blobs/87e3/5457213/74c82f7698e8/materials-09-00916-g013.jpg
https://cdn.ncbi.nlm.nih.gov/pmc/blobs/87e3/5457213/50d1898daed2/materials-09-00916-g014.jpg
https://cdn.ncbi.nlm.nih.gov/pmc/blobs/87e3/5457213/58bd78d01b11/materials-09-00916-g015.jpg
https://cdn.ncbi.nlm.nih.gov/pmc/blobs/87e3/5457213/2c2d4b833820/materials-09-00916-g001.jpg
https://cdn.ncbi.nlm.nih.gov/pmc/blobs/87e3/5457213/97bc9b001301/materials-09-00916-g002.jpg
https://cdn.ncbi.nlm.nih.gov/pmc/blobs/87e3/5457213/0d3ca4e074a6/materials-09-00916-g003.jpg
https://cdn.ncbi.nlm.nih.gov/pmc/blobs/87e3/5457213/b1209a54c709/materials-09-00916-g004.jpg
https://cdn.ncbi.nlm.nih.gov/pmc/blobs/87e3/5457213/df5b8d2dbe68/materials-09-00916-g005.jpg
https://cdn.ncbi.nlm.nih.gov/pmc/blobs/87e3/5457213/331e7eafff97/materials-09-00916-g006.jpg
https://cdn.ncbi.nlm.nih.gov/pmc/blobs/87e3/5457213/84a228537d55/materials-09-00916-g007.jpg
https://cdn.ncbi.nlm.nih.gov/pmc/blobs/87e3/5457213/12338bb7c8b4/materials-09-00916-g008.jpg
https://cdn.ncbi.nlm.nih.gov/pmc/blobs/87e3/5457213/c6853236f81a/materials-09-00916-g009a.jpg
https://cdn.ncbi.nlm.nih.gov/pmc/blobs/87e3/5457213/949a7dfd9aed/materials-09-00916-g010.jpg
https://cdn.ncbi.nlm.nih.gov/pmc/blobs/87e3/5457213/e364fa8afba0/materials-09-00916-g011.jpg
https://cdn.ncbi.nlm.nih.gov/pmc/blobs/87e3/5457213/1f75c997e1ad/materials-09-00916-g012.jpg
https://cdn.ncbi.nlm.nih.gov/pmc/blobs/87e3/5457213/74c82f7698e8/materials-09-00916-g013.jpg
https://cdn.ncbi.nlm.nih.gov/pmc/blobs/87e3/5457213/50d1898daed2/materials-09-00916-g014.jpg
https://cdn.ncbi.nlm.nih.gov/pmc/blobs/87e3/5457213/58bd78d01b11/materials-09-00916-g015.jpg

相似文献

1
Lamb-Wave-Based Tomographic Imaging Techniques for Hole-Edge Corrosion Monitoring in Plate Structures.基于兰姆波的层析成像技术用于板结构孔边腐蚀监测
Materials (Basel). 2016 Nov 12;9(11):916. doi: 10.3390/ma9110916.
2
Corrosion Monitoring Method of Porous Aluminum Alloy Plate Hole Edges Based on Piezoelectric Sensors.基于压电传感器的多孔铝合金板孔边腐蚀监测方法。
Sensors (Basel). 2019 Mar 5;19(5):1106. doi: 10.3390/s19051106.
3
On-Line Corrosion Monitoring of Plate Structures Based on Guided Wave Tomography Using Piezoelectric Sensors.基于压电传感器的导波层析成像的板结构在线腐蚀监测
Sensors (Basel). 2017 Dec 12;17(12):2882. doi: 10.3390/s17122882.
4
Corrosion monitoring using a new compressed sensing-based tomographic method.利用基于新型压缩感知的层析成像方法进行腐蚀监测。
Ultrasonics. 2020 Feb;101:105988. doi: 10.1016/j.ultras.2019.105988. Epub 2019 Aug 28.
5
Damage localization method for plates based on the time reversal of the mode-converted Lamb waves.基于模态转换兰姆波时间反转的板损伤定位方法。
Ultrasonics. 2019 Jan;91:19-29. doi: 10.1016/j.ultras.2018.07.007. Epub 2018 Jul 20.
6
Corrosion and erosion monitoring in plates and pipes using constant group velocity Lamb wave inspection.使用恒群速度兰姆波检测监测板和管的腐蚀和侵蚀。
Ultrasonics. 2014 Sep;54(7):1832-41. doi: 10.1016/j.ultras.2014.01.017. Epub 2014 Feb 17.
7
Weighted Structured Sparse Reconstruction-Based Lamb Wave Imaging Exploiting Multipath Edge Reflections in an Isotropic Plate.基于加权结构化稀疏重构的兰姆波成像:利用各向同性板中的多径边缘反射
Sensors (Basel). 2020 Jun 21;20(12):3502. doi: 10.3390/s20123502.
8
Application of Sensor Path Weighting RAPID Algorithm on Pitting Corrosion Monitoring of Aluminum Plate.传感器路径加权RAPID算法在铝板点蚀监测中的应用
Materials (Basel). 2022 May 30;15(11):3887. doi: 10.3390/ma15113887.
9
Detection and localization of corrosion using the combination information of multiple Lamb wave modes.利用多种兰姆波模式的组合信息进行腐蚀检测与定位
Ultrasonics. 2024 Mar;138:107246. doi: 10.1016/j.ultras.2024.107246. Epub 2024 Jan 19.
10
Research on Delamination Damage Quantification Detection of CFRP Bending Plate Based on Lamb Wave Mode Control.基于兰姆波模式控制的碳纤维增强复合材料弯曲板分层损伤量化检测研究
Sensors (Basel). 2024 Mar 10;24(6):1790. doi: 10.3390/s24061790.

引用本文的文献

1
Corrosion Monitoring in Automotive Lap Joints Based on Imaging Methods of Lamb Waves.基于兰姆波成像方法的汽车搭接接头腐蚀监测
Sensors (Basel). 2024 Dec 18;24(24):8092. doi: 10.3390/s24248092.
2
Damage Localization on Composite Structures Based on the Delay-and-Sum Algorithm Using Simulation and Experimental Methods.基于延迟求和算法的复合材料结构损伤定位:仿真与实验方法。
Sensors (Basel). 2023 Apr 28;23(9):4368. doi: 10.3390/s23094368.
3
Imaging of Increasing Damage in Steel Plates Using Lamb Waves and Ultrasound Computed Tomography.

本文引用的文献

1
Guided Wave Based Crack Detection in the Rivet Hole Using Global Analytical with Local FEM Approach.基于全局解析与局部有限元方法的铆钉孔导波裂纹检测
Materials (Basel). 2016 Jul 21;9(7):602. doi: 10.3390/ma9070602.
2
Development of a Tomography Technique for Assessment of the Material Condition of Concrete Using Optimized Elastic Wave Parameters.利用优化弹性波参数评估混凝土材料状况的层析成像技术的发展
Materials (Basel). 2016 Apr 16;9(4):291. doi: 10.3390/ma9040291.
3
Multi-Mode Electromagnetic Ultrasonic Lamb Wave Tomography Imaging for Variable-Depth Defects in Metal Plates.
使用兰姆波和超声计算机断层扫描对钢板中不断增加的损伤进行成像
Materials (Basel). 2021 Sep 6;14(17):5114. doi: 10.3390/ma14175114.
4
Aircraft Fuselage Corrosion Detection Using Artificial Intelligence.人工智能在飞机机身腐蚀检测中的应用。
Sensors (Basel). 2021 Jun 11;21(12):4026. doi: 10.3390/s21124026.
5
Corrosion Monitoring Method of Porous Aluminum Alloy Plate Hole Edges Based on Piezoelectric Sensors.基于压电传感器的多孔铝合金板孔边腐蚀监测方法。
Sensors (Basel). 2019 Mar 5;19(5):1106. doi: 10.3390/s19051106.
6
Recent Advances in Piezoelectric Wafer Active Sensors for Structural Health Monitoring Applications.压电晶圆主动传感器在结构健康监测应用中的最新进展。
Sensors (Basel). 2019 Jan 18;19(2):383. doi: 10.3390/s19020383.
7
On-Line Corrosion Monitoring of Plate Structures Based on Guided Wave Tomography Using Piezoelectric Sensors.基于压电传感器的导波层析成像的板结构在线腐蚀监测
Sensors (Basel). 2017 Dec 12;17(12):2882. doi: 10.3390/s17122882.
8
Multiphysics Simulation of Low-Amplitude Acoustic Wave Detection by Piezoelectric Wafer Active Sensors Validated by In-Situ AE-Fatigue Experiment.通过原位声发射-疲劳实验验证的压电晶片有源传感器对低振幅声波检测的多物理场模拟
Materials (Basel). 2017 Aug 17;10(8):962. doi: 10.3390/ma10080962.
用于金属板中可变深度缺陷的多模式电磁超声兰姆波层析成像
Sensors (Basel). 2016 May 2;16(5):628. doi: 10.3390/s16050628.
4
Tomographic reconstruction of damage images in hollow cylinders using Lamb waves.使用兰姆波对空心圆柱体内损伤图像进行层析成像重建。
Ultrasonics. 2014 Sep;54(7):2015-23. doi: 10.1016/j.ultras.2014.05.011. Epub 2014 May 23.
5
A new omni-directional EMAT for ultrasonic Lamb wave tomography imaging of metallic plate defects.一种用于金属板缺陷超声兰姆波层析成像的新型全向电磁超声换能器。
Sensors (Basel). 2014 Feb 20;14(2):3458-76. doi: 10.3390/s140203458.
6
The interaction of Lamb waves with defects.兰姆波与缺陷的相互作用。
IEEE Trans Ultrason Ferroelectr Freq Control. 1992;39(3):381-97. doi: 10.1109/58.143172.
7
In situ 2-D piezoelectric wafer active sensors arrays for guided wave damage detection.用于导波损伤检测的原位二维压电晶片有源传感器阵列。
Ultrasonics. 2008 Apr;48(2):117-34. doi: 10.1016/j.ultras.2007.10.008. Epub 2007 Dec 14.
8
An introduction to structural health monitoring.结构健康监测简介。
Philos Trans A Math Phys Eng Sci. 2007 Feb 15;365(1851):303-15. doi: 10.1098/rsta.2006.1928.
9
Modern acoustic emission technique and its application in aviation industry.现代声发射技术及其在航空工业中的应用。
Ultrasonics. 2006 Dec 22;44 Suppl 1:e1025-9. doi: 10.1016/j.ultras.2006.05.092. Epub 2006 Jun 5.
10
Algebraic reconstruction techniques (ART) for three-dimensional electron microscopy and x-ray photography.用于三维电子显微镜和X射线摄影的代数重建技术(ART)
J Theor Biol. 1970 Dec;29(3):471-81. doi: 10.1016/0022-5193(70)90109-8.