Department of Epidemiology, College of Public Health and Health Professions and College of Medicine, University of Florida, 2004 Mowry Rd, Gainesville, FL, 32610, USA.
Department of Pathology, Immunology and Laboratory Medicine, College of Medicine, University of Florida, 1600 SW Archer Road, Gainesville, FL, 32610, USA.
Breast Cancer Res. 2017 Aug 29;19(1):100. doi: 10.1186/s13058-017-0889-3.
Mammographic breast density is a well-established, strong breast cancer risk factor but the biology underlying this association remains unclear. Breast density may reflect underlying alterations in the size and activity of the breast stem cell pool. We examined, for the first time, associations of CD44, CD24, and aldehyde dehydrogenase family 1 member A1 (ALDH1A1) breast stem cell markers with breast density.
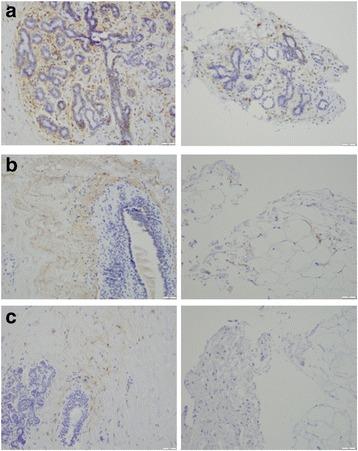
We included in this study 64 asymptomatic healthy women who previously volunteered for a unique biopsy study of normal breast tissue at the Mayo Clinic (2006-2008). Mammographically identified dense and non-dense areas were confirmed/localized by ultrasound and biopsied. Immunohistochemical analysis of the markers was performed according to a standard protocol and the staining was assessed by a single blinded pathologist. In core biopsy samples retrieved from areas of high vs. low density within the same woman, we compared staining extent and an expression score (the product of staining intensity and extent), using the signed rank test. All tests of statistical significance were two-sided.
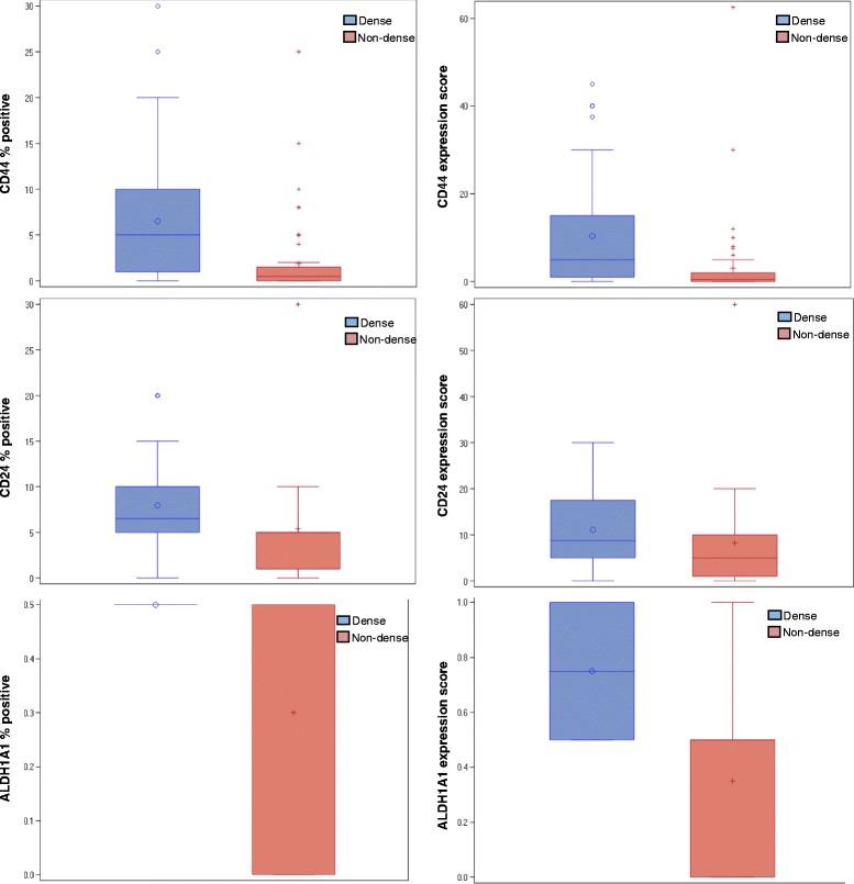
A total of 64, 28, and 10 women were available for CD44, CD24, and ALDH1A1 staining, respectively. For all three markers, we found higher levels of staining extent in dense as compared to non-dense tissue, though for CD24 and ALDH1A1 the difference did not reach statistical significance (CD44, 6.3% vs. 2.0%, p < 0.001; CD24, 8.0% vs. 5.6%, p = 0.10; and ALDH1A1, 0.5% vs. 0.3%, p = 0.12). The expression score for CD44 was significantly greater in dense as compared to non-dense tissue (9.8 vs.3.0, p < 0.001).
Our findings suggest an increased presence and/or activity of stem cells in dense as compared to non-dense breast tissue.
乳腺密度是一种已确立的、强有力的乳腺癌危险因素,但这种关联的生物学基础仍不清楚。乳腺密度可能反映了乳腺干细胞池大小和活性的潜在改变。我们首次研究了 CD44、CD24 和醛脱氢酶家族 1 成员 A1(ALDH1A1)乳腺干细胞标志物与乳腺密度的相关性。
我们纳入了这项研究的 64 名无症状健康女性,她们之前曾在梅奥诊所(2006-2008 年)自愿参加过一项正常乳腺组织的独特活检研究。通过超声和活检确认/定位乳腺摄影确定的致密和非致密区域。根据标准方案进行标记物的免疫组织化学分析,由一名单盲病理学家评估染色。在来自同一女性的高致密和低致密区域的核心活检样本中,我们使用符号秩检验比较了染色程度和表达评分(染色强度和程度的乘积)。所有统计显著性检验均为双侧检验。
共有 64、28 和 10 名女性可用于 CD44、CD24 和 ALDH1A1 染色,分别。对于所有三种标志物,我们发现致密组织中的染色程度均高于非致密组织,尽管 CD24 和 ALDH1A1 的差异没有达到统计学意义(CD44,6.3%对 2.0%,p<0.001;CD24,8.0%对 5.6%,p=0.10;ALDH1A1,0.5%对 0.3%,p=0.12)。CD44 的表达评分在致密组织中明显高于非致密组织(9.8 对 3.0,p<0.001)。
我们的发现表明,致密乳腺组织中干细胞的存在和/或活性增加。