• 文献检索
  • 文档翻译
  • 深度研究
  • 学术资讯
  • Suppr Zotero 插件Zotero 插件
  • 邀请有礼
  • 套餐&价格
  • 历史记录
应用&插件
Suppr Zotero 插件Zotero 插件浏览器插件Mac 客户端Windows 客户端微信小程序
定价
高级版会员购买积分包购买API积分包
服务
文献检索文档翻译深度研究API 文档MCP 服务
关于我们
关于 Suppr公司介绍联系我们用户协议隐私条款
关注我们

Suppr 超能文献

核心技术专利:CN118964589B侵权必究
粤ICP备2023148730 号-1Suppr @ 2026

文献检索

告别复杂PubMed语法,用中文像聊天一样搜索,搜遍4000万医学文献。AI智能推荐,让科研检索更轻松。

立即免费搜索

文件翻译

保留排版,准确专业,支持PDF/Word/PPT等文件格式,支持 12+语言互译。

免费翻译文档

深度研究

AI帮你快速写综述,25分钟生成高质量综述,智能提取关键信息,辅助科研写作。

立即免费体验

大鼠在不同负荷与坡度组合下行走时的地面反作用力。

Ground reaction forces during walking with different load and slope combinations in rats.

作者信息

Bravenboer N, van Rens B T T M, van Essen H W, van Dieën J H, Lips P

机构信息

Amsterdam Movement Sciences, Department of Clinical Chemistry, VU University Medical Center, PO Box 7057, 1007 MB, Amsterdam, the Netherlands.

Amsterdam Movement Sciences, Faculty of Behavioural and Movement Sciences, Vrije Universiteit Amsterdam, Amsterdam, the Netherlands.

出版信息

J Exp Orthop. 2017 Aug 31;4(1):28. doi: 10.1186/s40634-017-0102-8.

DOI:10.1186/s40634-017-0102-8
PMID:28861752
原文链接:https://pmc.ncbi.nlm.nih.gov/articles/PMC5578952/
Abstract

BACKGROUND

Treadmill animal models are commonly used to study effects of exercise on bone. Since mechanical loading induces bone strain, resulting in bone formation, exercise that induces higher strains is likely to cause more bone formation. Our aim was to investigate the effect of slope and additional load on limb bone strain.

METHODS

Horizontal and vertical ground reaction forces on left fore-limb (FL) and hind-limb (HL) of twenty 23-week old female Wistar rats (weight 279 ± 26 g) were measured for six combinations of SLOPE (-10°, 0°, +10°) and LOAD (0 to 23% of body mass). Peak force (Fmax), rate of force rise (RC), stance time (Tstance) and impulse (Fint) on FLs and HLs were analyzed.

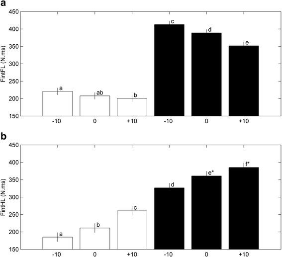
RESULTS

For the FL, peak ground reaction forces and rate of force rise were highest when walking downward -10° with load (Fmax = 2.09±0.05 N, FLRC = 34±2 N/s) For the HL, ground reaction forces and rate of force rise were highest when walking upward +10°, without load (Fmax = 2.20±0.05 N, HLRC = 34±1 N/s). Load increased stance time. Without additional load, estimates for the highest FL loading (slope is -10°) were larger than for the highest HL loading (slope is +10°) relative to level walking.

CONCLUSIONS

Thus, walking downward has a higher impact on FL bones, while walking upward is a more optimal HL exercise. Additional load may have a small effect on FL loading.

摘要

背景

跑步机动物模型常用于研究运动对骨骼的影响。由于机械负荷会引起骨应变,进而导致骨形成,所以能引起更高应变的运动可能会促使更多的骨形成。我们的目的是研究坡度和额外负荷对四肢骨应变的影响。

方法

对20只23周龄雌性Wistar大鼠(体重279±26克)的左前肢(FL)和后肢(HL)的水平和垂直地面反作用力进行测量,测量坡度(-10°、0°、+10°)和负荷(体重的0%至23%)的六种组合情况。分析FL和HL的峰值力(Fmax)、力上升速率(RC)、站立时间(Tstance)和冲量(Fint)。

结果

对于FL,在负重向下行走-10°时,地面反作用力峰值和力上升速率最高(Fmax = 2.09±0.05 N,FLRC = 34±2 N/s)。对于HL,在无负重向上行走+10°时,地面反作用力和力上升速率最高(Fmax = 2.20±0.05 N,HLRC = 34±1 N/s)。负荷增加了站立时间。在无额外负荷的情况下,相对于水平行走,FL最高负荷(坡度为-10°)的估计值大于HL最高负荷(坡度为+10°)的估计值。

结论

因此,向下行走对FL骨骼的影响更大,而向上行走是更理想的HL运动方式。额外负荷可能对FL负荷有较小影响。

https://cdn.ncbi.nlm.nih.gov/pmc/blobs/88d9/5578952/a540e2d84da0/40634_2017_102_Fig8_HTML.jpg
https://cdn.ncbi.nlm.nih.gov/pmc/blobs/88d9/5578952/14b316d83a72/40634_2017_102_Fig1_HTML.jpg
https://cdn.ncbi.nlm.nih.gov/pmc/blobs/88d9/5578952/1c2b331810f2/40634_2017_102_Fig2_HTML.jpg
https://cdn.ncbi.nlm.nih.gov/pmc/blobs/88d9/5578952/a235c005d3f9/40634_2017_102_Fig3_HTML.jpg
https://cdn.ncbi.nlm.nih.gov/pmc/blobs/88d9/5578952/abfd9ae606bb/40634_2017_102_Fig4_HTML.jpg
https://cdn.ncbi.nlm.nih.gov/pmc/blobs/88d9/5578952/75a95ad3eb86/40634_2017_102_Fig5_HTML.jpg
https://cdn.ncbi.nlm.nih.gov/pmc/blobs/88d9/5578952/58e43dd9b45f/40634_2017_102_Fig6_HTML.jpg
https://cdn.ncbi.nlm.nih.gov/pmc/blobs/88d9/5578952/a172e11b982a/40634_2017_102_Fig7_HTML.jpg
https://cdn.ncbi.nlm.nih.gov/pmc/blobs/88d9/5578952/a540e2d84da0/40634_2017_102_Fig8_HTML.jpg
https://cdn.ncbi.nlm.nih.gov/pmc/blobs/88d9/5578952/14b316d83a72/40634_2017_102_Fig1_HTML.jpg
https://cdn.ncbi.nlm.nih.gov/pmc/blobs/88d9/5578952/1c2b331810f2/40634_2017_102_Fig2_HTML.jpg
https://cdn.ncbi.nlm.nih.gov/pmc/blobs/88d9/5578952/a235c005d3f9/40634_2017_102_Fig3_HTML.jpg
https://cdn.ncbi.nlm.nih.gov/pmc/blobs/88d9/5578952/abfd9ae606bb/40634_2017_102_Fig4_HTML.jpg
https://cdn.ncbi.nlm.nih.gov/pmc/blobs/88d9/5578952/75a95ad3eb86/40634_2017_102_Fig5_HTML.jpg
https://cdn.ncbi.nlm.nih.gov/pmc/blobs/88d9/5578952/58e43dd9b45f/40634_2017_102_Fig6_HTML.jpg
https://cdn.ncbi.nlm.nih.gov/pmc/blobs/88d9/5578952/a172e11b982a/40634_2017_102_Fig7_HTML.jpg
https://cdn.ncbi.nlm.nih.gov/pmc/blobs/88d9/5578952/a540e2d84da0/40634_2017_102_Fig8_HTML.jpg

相似文献

1
Ground reaction forces during walking with different load and slope combinations in rats.大鼠在不同负荷与坡度组合下行走时的地面反作用力。
J Exp Orthop. 2017 Aug 31;4(1):28. doi: 10.1186/s40634-017-0102-8.
2
Compensatory load redistribution in walking and trotting dogs with hind limb lameness.后肢跛行犬在行走和小跑时的代偿性负荷重新分布。
Vet J. 2013 Sep;197(3):746-52. doi: 10.1016/j.tvjl.2013.04.009. Epub 2013 May 15.
3
Joint kinematics and ground reaction forces in overground versus treadmill graded running.地面跑步与跑步机坡度跑时的关节运动学和地面反作用力
Gait Posture. 2018 Jun;63:109-113. doi: 10.1016/j.gaitpost.2018.04.042. Epub 2018 Apr 26.
4
Influence of different head-neck positions on vertical ground reaction forces, linear and time parameters in the unridden horse walking and trotting on a treadmill.不同头颈位置对未骑乘马匹在跑步机上行走和小跑时垂直地面反作用力、线性和时间参数的影响。
Equine Vet J. 2009 Mar;41(3):268-73. doi: 10.2746/042516409x397389.
5
Compensatory load redistribution of horses with induced weightbearing hindlimb lameness trotting on a treadmill.诱导负重后肢跛行的马匹在跑步机上小跑时的代偿性负荷再分配
Equine Vet J. 2004 Dec;36(8):727-33. doi: 10.2746/0425164044848244.
6
[Ground reaction forces of the canine hindlimb: are there differences between gait on treadmill and force plate?].[犬后肢的地面反作用力:跑步机上的步态与测力板上的步态之间存在差异吗?]
Berl Munch Tierarztl Wochenschr. 2010 Jul-Aug;123(7-8):339-45.
7
The effect of surface inclination and limb on knee loading measures in transtibial prosthesis users.表面倾斜度和肢体对胫骨假体使用者膝关节负荷测量的影响。
J Neuroeng Rehabil. 2019 Mar 12;16(1):37. doi: 10.1186/s12984-019-0509-9.
8
The effect of increasing inertia upon vertical ground reaction forces and temporal kinematics during locomotion.增加惯性对运动过程中垂直地面反作用力和时间运动学的影响。
J Exp Biol. 2008 Apr;211(Pt 7):1087-92. doi: 10.1242/jeb.012443.
9
Effect of head and neck position on vertical ground reaction forces and interlimb coordination in the dressage horse ridden at walk and trot on a treadmill.头部和颈部位置对在跑步机上以慢步和快步骑行的盛装舞步马的垂直地面反作用力和肢体间协调性的影响。
Equine Vet J Suppl. 2006 Aug(36):387-92. doi: 10.1111/j.2042-3306.2006.tb05574.x.
10
Influence of fatigue and load carriage on mechanical loading during walking.疲劳和负重对行走过程中机械负荷的影响。
Mil Med. 2012 Feb;177(2):152-6. doi: 10.7205/milmed-d-11-00210.

本文引用的文献

1
The Interaction of Voluntary Running Exercise and Food Restriction Induces Low Bone Strength and Low Bone Mineral Density in Young Female Rats.自愿跑步运动与食物限制的相互作用导致年轻雌性大鼠骨强度降低和骨矿物质密度降低。
Calcif Tissue Int. 2015 Jul;97(1):90-9. doi: 10.1007/s00223-015-0005-6. Epub 2015 Jun 3.
2
Changes of bone metabolism based on the different interventions with exercise type or additional intake material in ovariectomized rats.基于不同运动类型或额外摄入物质干预的去卵巢大鼠骨代谢变化。
J Exerc Nutrition Biochem. 2014 Mar;18(1):111-7. doi: 10.5717/jenb.2014.18.1.111. Epub 2014 Feb 10.
3
Gait analysis methods for rodent models of osteoarthritis.
骨关节炎啮齿动物模型的步态分析方法
Curr Pain Headache Rep. 2014 Oct;18(10):456. doi: 10.1007/s11916-014-0456-x.
4
Bipedal and quadrupedal locomotion in chimpanzees.黑猩猩的双足和四足运动。
J Hum Evol. 2014 Jan;66:64-82. doi: 10.1016/j.jhevol.2013.10.002. Epub 2013 Dec 5.
5
The effect of level and downhill running on cortical and trabecular bone in growing rats.水平跑和下坡跑对生长大鼠皮质骨和松质骨的影响。
Calcif Tissue Int. 2012 May;90(5):429-37. doi: 10.1007/s00223-012-9593-6. Epub 2012 Apr 1.
6
Differential effects of jump versus running exercise on trabecular architecture during remobilization after suspension-induced osteopenia in growing rats.跳跃运动与跑步运动对去重诱导生长大鼠再活动期松质骨结构的差异影响。
J Appl Physiol (1985). 2012 Mar;112(5):766-72. doi: 10.1152/japplphysiol.01219.2011. Epub 2011 Dec 8.
7
Voluntary exercise has long-term in vivo protective effects on osteocyte viability and bone strength following ovariectomy.自愿运动对去卵巢后的骨细胞活力和骨强度具有长期的体内保护作用。
Calcif Tissue Int. 2011 Jun;88(6):443-54. doi: 10.1007/s00223-011-9476-2. Epub 2011 Mar 18.
8
Treadmill training prevents bone loss by inhibition of PPARγ expression but not promoting of Runx2 expression in ovariectomized rats. treadmill 训练通过抑制 PPARγ 的表达而不是促进 Runx2 的表达来预防去卵巢大鼠的骨丢失。
Eur J Appl Physiol. 2011 Aug;111(8):1759-67. doi: 10.1007/s00421-010-1820-0. Epub 2011 Jan 9.
9
Adaptations in cortical and trabecular bone in response to mechanical loading with and without weight bearing.皮质骨和小梁骨对负重及非负重机械负荷的适应性变化。
Calcif Tissue Int. 2006 Dec;79(6):395-403. doi: 10.1007/s00223-005-0293-3. Epub 2006 Dec 8.
10
Additional weight bearing during exercise and estrogen in the rat: the effect on bone mass, turnover, and structure.大鼠运动过程中的额外负重与雌激素:对骨量、骨转换及骨结构的影响
Calcif Tissue Int. 2006 Dec;79(6):404-15. doi: 10.1007/s00223-006-0045-z. Epub 2006 Dec 8.