• 文献检索
  • 文档翻译
  • 深度研究
  • 学术资讯
  • Suppr Zotero 插件Zotero 插件
  • 邀请有礼
  • 套餐&价格
  • 历史记录
应用&插件
Suppr Zotero 插件Zotero 插件浏览器插件Mac 客户端Windows 客户端微信小程序
定价
高级版会员购买积分包购买API积分包
服务
文献检索文档翻译深度研究API 文档MCP 服务
关于我们
关于 Suppr公司介绍联系我们用户协议隐私条款
关注我们

Suppr 超能文献

核心技术专利:CN118964589B侵权必究
粤ICP备2023148730 号-1Suppr @ 2026

文献检索

告别复杂PubMed语法,用中文像聊天一样搜索,搜遍4000万医学文献。AI智能推荐,让科研检索更轻松。

立即免费搜索

文件翻译

保留排版,准确专业,支持PDF/Word/PPT等文件格式,支持 12+语言互译。

免费翻译文档

深度研究

AI帮你快速写综述,25分钟生成高质量综述,智能提取关键信息,辅助科研写作。

立即免费体验

肝细胞微球的低温保存用于临床移植。

Cryopreservation of Hepatocyte Microbeads for Clinical Transplantation.

机构信息

1 Dhawan Lab at Institute of Liver Studies, King's College London School of Medicine at King's College Hospital, London, United Kingdom.

2 Department of Pediatrics, King Chulalongkorn Memorial Hospital, Bangkok, Thailand.

出版信息

Cell Transplant. 2017 Aug;26(8):1341-1354. doi: 10.1177/0963689717720050.

DOI:10.1177/0963689717720050
PMID:28901189
原文链接:https://pmc.ncbi.nlm.nih.gov/articles/PMC5680969/
Abstract

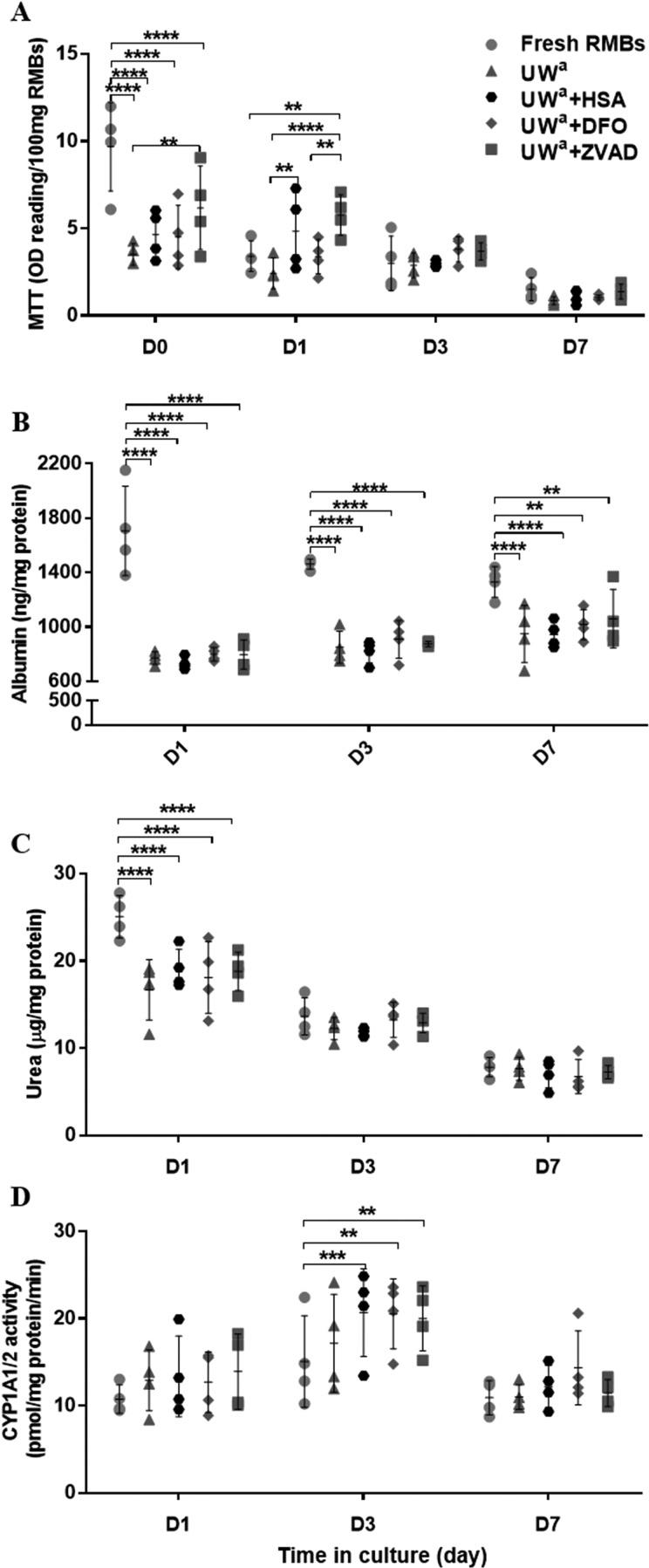
Intraperitoneal transplantation of hepatocyte microbeads is an attractive option for the management of acute liver failure. Encapsulation of hepatocytes in alginate microbeads supports their function and prevents immune attack of the cells. Establishment of banked cryopreserved hepatocyte microbeads is important for emergency use. The aim of this study was to develop an optimized protocol for cryopreservation of hepatocyte microbeads for clinical transplantation using modified freezing solutions. Four freezing solutions with potential for clinical application were investigated. Human and rat hepatocytes cryopreserved with University of Wisconsin (UW)/10% dimethyl sulfoxide (DMSO)/5% (300 mM) glucose and CryoStor CS10 showed better postthawing cell viability, attachment, and hepatocyte functions than with histidine-tryptophan-ketoglutarate/10% DMSO/5% glucose and Bambanker. The 2 freezing solutions that gave better results were studied with human and rat hepatocytes microbeads. Similar effects on cryopreserved microbead morphology (external and ultrastructural), viability, and hepatocyte-functions post thawing were observed over 7 d in culture. UW/DMSO/glucose, as a basal freezing medium, was used to investigate the additional effects of cytoprotectants: a pan-caspase inhibitor (benzyloxycarbonyl-Val-Ala-dl-Asp-fluoromethylketone [ZVAD]), an antioxidant (desferoxamine [DFO]), and a buffering and mechanical protectant (human serum albumin [HSA]) on RMBs. ZVAD (60 µM) had a beneficial effect on cell viability that was greater than with DFO (1 mM), HSA (2%), and basal freezing medium alone. Improvements in the ultrastructure of encapsulated hepatocytes and a lower degree of cell apoptosis were observed with all 3 cytoprotectants, with ZVAD tending to provide the greatest effect. Cytochrome P450 activity was significantly higher in the 3 cytoprotectant groups than with fresh microbeads. In conclusion, developing an optimized cryopreservation protocol by adding cytoprotectants such as ZVAD could improve the outcome of cryopreserved hepatocyte microbeads for future clinical use.

摘要

细胞微球经腹腔移植是治疗急性肝衰竭的一种很有吸引力的选择。藻酸盐微球包裹的肝细胞可以支持其功能并防止细胞的免疫攻击。建立可储存的低温保存的肝细胞微球对于紧急使用非常重要。本研究旨在开发一种使用改良的冷冻溶液对肝细胞微球进行临床移植的优化冷冻保存方案。研究了四种具有临床应用潜力的冷冻溶液。与Histidine-Tryptophan-Ketoglutarate/10% DMSO/5%葡萄糖和 Bambanker 相比,用 UW/10%DMSO/5%(300mM)葡萄糖和 CryoStor CS10 冷冻保存的人源和大鼠源肝细胞的冷冻后细胞活力、附着和肝细胞功能更好。对这两种效果更好的冷冻溶液进行了研究,结果发现,在培养的 7 天内,对冷冻保存的微球形态(外部和超微结构)、活力和肝细胞功能均有类似的影响。UW/DMSO/葡萄糖作为基础冷冻培养基,研究了细胞保护剂的附加作用:一种全胱天冬酶抑制剂(苯甲氧基羰基-Val-Ala-dl-Asp-氟甲基酮[ZVAD])、一种抗氧化剂(去铁胺[DFO])和一种缓冲和机械保护剂(人血清白蛋白[HSA])对 RMB 的影响。ZVAD(60μM)对细胞活力的有益作用大于 DFO(1mM)、HSA(2%)和基础冷冻培养基单独使用。所有 3 种细胞保护剂都观察到了对包封的肝细胞超微结构的改善和细胞凋亡程度的降低,ZVAD 效果最好。与新鲜微球相比,3 种细胞保护剂组的细胞色素 P450 活性显著升高。总之,通过添加细胞保护剂(如 ZVAD)来开发优化的冷冻保存方案可以提高低温保存的肝细胞微球在未来临床应用中的效果。

https://cdn.ncbi.nlm.nih.gov/pmc/blobs/3d18/5680969/fffb3b2c63e8/10.1177_0963689717720050-fig7.jpg
https://cdn.ncbi.nlm.nih.gov/pmc/blobs/3d18/5680969/e5736b2a76b2/10.1177_0963689717720050-fig1.jpg
https://cdn.ncbi.nlm.nih.gov/pmc/blobs/3d18/5680969/dfb4aa180b08/10.1177_0963689717720050-fig2.jpg
https://cdn.ncbi.nlm.nih.gov/pmc/blobs/3d18/5680969/34c8726baa5b/10.1177_0963689717720050-fig3.jpg
https://cdn.ncbi.nlm.nih.gov/pmc/blobs/3d18/5680969/f8319cc462f0/10.1177_0963689717720050-fig4.jpg
https://cdn.ncbi.nlm.nih.gov/pmc/blobs/3d18/5680969/3a3dbc7d88fc/10.1177_0963689717720050-fig5.jpg
https://cdn.ncbi.nlm.nih.gov/pmc/blobs/3d18/5680969/dcc0078e5c58/10.1177_0963689717720050-fig6.jpg
https://cdn.ncbi.nlm.nih.gov/pmc/blobs/3d18/5680969/fffb3b2c63e8/10.1177_0963689717720050-fig7.jpg
https://cdn.ncbi.nlm.nih.gov/pmc/blobs/3d18/5680969/e5736b2a76b2/10.1177_0963689717720050-fig1.jpg
https://cdn.ncbi.nlm.nih.gov/pmc/blobs/3d18/5680969/dfb4aa180b08/10.1177_0963689717720050-fig2.jpg
https://cdn.ncbi.nlm.nih.gov/pmc/blobs/3d18/5680969/34c8726baa5b/10.1177_0963689717720050-fig3.jpg
https://cdn.ncbi.nlm.nih.gov/pmc/blobs/3d18/5680969/f8319cc462f0/10.1177_0963689717720050-fig4.jpg
https://cdn.ncbi.nlm.nih.gov/pmc/blobs/3d18/5680969/3a3dbc7d88fc/10.1177_0963689717720050-fig5.jpg
https://cdn.ncbi.nlm.nih.gov/pmc/blobs/3d18/5680969/dcc0078e5c58/10.1177_0963689717720050-fig6.jpg
https://cdn.ncbi.nlm.nih.gov/pmc/blobs/3d18/5680969/fffb3b2c63e8/10.1177_0963689717720050-fig7.jpg

相似文献

1
Cryopreservation of Hepatocyte Microbeads for Clinical Transplantation.肝细胞微球的低温保存用于临床移植。
Cell Transplant. 2017 Aug;26(8):1341-1354. doi: 10.1177/0963689717720050.
2
Alginate microencapsulated hepatocytes optimised for transplantation in acute liver failure.为急性肝衰竭移植优化的海藻酸盐微囊化肝细胞。
PLoS One. 2014 Dec 1;9(12):e113609. doi: 10.1371/journal.pone.0113609. eCollection 2014.
3
A novel method of cryopreservation of rat and human hepatocytes by using encapsulation technique and possible use for cell transplantation.一种利用包封技术冷冻保存大鼠和人肝细胞的新方法及其在细胞移植中的可能应用。
Cell Transplant. 2005;14(9):609-20. doi: 10.3727/000000005783982710.
4
Alginate microencapsulated human hepatocytes for the treatment of acute liver failure in children.藻酸盐微囊化人肝细胞用于治疗儿童急性肝衰竭。
J Hepatol. 2020 May;72(5):877-884. doi: 10.1016/j.jhep.2019.12.002. Epub 2019 Dec 13.
5
Preincubation of rat and human hepatocytes with cytoprotectants prior to cryopreservation can improve viability and function upon thawing.在冷冻保存前用细胞保护剂对大鼠和人类肝细胞进行预孵育,可以提高解冻后的活力和功能。
Liver Transpl. 2005 Dec;11(12):1533-40. doi: 10.1002/lt.20503.
6
Optimization of the cryopreservation and thawing protocol for human hepatocytes for use in cell transplantation.优化人肝细胞的冷冻保存和解冻方案,以用于细胞移植。
Liver Transpl. 2010 Feb;16(2):229-37. doi: 10.1002/lt.21983.
7
Cryopreservation of human hepatocytes for clinical use.用于临床的人肝细胞冷冻保存
Methods Mol Biol. 2010;640:107-13. doi: 10.1007/978-1-60761-688-7_5.
8
Treatment of fulminant liver failure by transplantation of microencapsulated primary or immortalized xenogeneic hepatocytes.通过移植微囊化原代或永生化异种肝细胞治疗暴发性肝衰竭。
Xenotransplantation. 2005 Nov;12(6):457-64. doi: 10.1111/j.1399-3089.2005.00248.x.
9
Treatment of fulminant liver failure by transplantation of microencapsulated primary or immortalized xenogeneic hepatocytes.通过移植微囊化原代或永生化异种肝细胞治疗暴发性肝衰竭。
Transplant Proc. 2005 Jan-Feb;37(1):527-9. doi: 10.1016/j.transproceed.2005.01.017.
10
Cryopreservation of immobilized rat hepatocytes for the development of a bioartificial liver system.用于生物人工肝系统开发的固定化大鼠肝细胞的冷冻保存。
Transplant Proc. 2012 May;44(4):1005-8. doi: 10.1016/j.transproceed.2012.03.050.

引用本文的文献

1
Freezing biological organisms for biomedical applications.为生物医学应用冷冻生物有机体。
Smart Med. 2022 Dec 27;1(1):e20220034. doi: 10.1002/SMMD.20220034. eCollection 2022 Dec.
2
A comprehensive review of advances in hepatocyte microencapsulation: selecting materials and preserving cell viability.肝细胞微囊化技术进展的综合评述:材料选择与细胞活力保存。
Front Immunol. 2024 Apr 17;15:1385022. doi: 10.3389/fimmu.2024.1385022. eCollection 2024.
3
Cryopreserved cGMP-compliant human pluripotent stem cell-derived hepatic progenitors rescue mice from acute liver failure through rapid paracrine effects on liver cells.

本文引用的文献

1
Alginate microencapsulated hepatocytes optimised for transplantation in acute liver failure.为急性肝衰竭移植优化的海藻酸盐微囊化肝细胞。
PLoS One. 2014 Dec 1;9(12):e113609. doi: 10.1371/journal.pone.0113609. eCollection 2014.
2
Liver support strategies: cutting-edge technologies.肝脏支持策略:前沿技术。
Nat Rev Gastroenterol Hepatol. 2014 Mar;11(3):166-76. doi: 10.1038/nrgastro.2013.204. Epub 2013 Oct 29.
3
Potential contribution of a novel Tax epitope-specific CD4+ T cells to graft-versus-Tax effect in adult T cell leukemia patients after allogeneic hematopoietic stem cell transplantation.
经冷冻保存符合 cGMP 标准的人多能干细胞衍生的肝祖细胞通过对肝细胞的快速旁分泌作用挽救急性肝衰竭小鼠。
Stem Cell Res Ther. 2024 Mar 12;15(1):71. doi: 10.1186/s13287-024-03673-9.
4
Human Hepatocyte Transplantation: Three Decades of Clinical Experience and Future Perspective.人肝细胞移植:三十年的临床经验和未来展望。
Stem Cells Transl Med. 2024 Mar 15;13(3):204-218. doi: 10.1093/stcltm/szad084.
5
Cell therapy in end-stage liver disease: replace and remodel.细胞治疗终末期肝病:替代与重塑。
Stem Cell Res Ther. 2023 May 25;14(1):141. doi: 10.1186/s13287-023-03370-z.
6
Cellular Therapies in Pediatric Liver Diseases.儿童肝脏疾病的细胞治疗。
Cells. 2022 Aug 10;11(16):2483. doi: 10.3390/cells11162483.
7
Optimization of Mesenchymal Stromal Cell (MSC) Manufacturing Processes for a Better Therapeutic Outcome.优化间充质基质细胞(MSC)制造工艺以获得更好的治疗效果。
Front Immunol. 2022 Jun 9;13:918565. doi: 10.3389/fimmu.2022.918565. eCollection 2022.
8
Biomaterials for Cell-Surface Engineering and Their Efficacy.用于细胞表面工程的生物材料及其功效。
J Funct Biomater. 2021 Jul 13;12(3):41. doi: 10.3390/jfb12030041.
9
Winter is coming: the future of cryopreservation.冬天将至:低温保存的未来。
BMC Biol. 2021 Mar 24;19(1):56. doi: 10.1186/s12915-021-00976-8.
10
Cryopreservation: An Overview of Principles and Cell-Specific Considerations.冷冻保存:原理概述及细胞特异性考虑因素。
Cell Transplant. 2021 Jan-Dec;30:963689721999617. doi: 10.1177/0963689721999617.
新型 Tax 表位特异性 CD4+ T 细胞对异基因造血干细胞移植后成人 T 细胞白血病患者移植物抗 Tax 效应的潜在贡献。
J Immunol. 2013 Apr 15;190(8):4382-92. doi: 10.4049/jimmunol.1202971. Epub 2013 Mar 8.
4
The advantages of three-dimensional culture in a collagen hydrogel for stem cell differentiation.三维培养在胶原水凝胶中对干细胞分化的优势。
J Biomed Mater Res A. 2013 Oct;101(10):2838-45. doi: 10.1002/jbm.a.34578. Epub 2013 Mar 6.
5
Cryopreservation of alginate encapsulated mesenchymal stromal cells.藻酸盐包封间充质基质细胞的低温保存。
Cryobiology. 2013 Jun;66(3):215-22. doi: 10.1016/j.cryobiol.2013.02.002. Epub 2013 Feb 16.
6
Cryopreservation of encapsulated liver spheroids for a bioartificial liver: reducing latent cryoinjury using an ice nucleating agent.包埋肝球体的低温保存用于生物人工肝脏:使用成核剂减少潜在的冷冻损伤。
Tissue Eng Part C Methods. 2011 Jul;17(7):765-74. doi: 10.1089/ten.TEC.2010.0394. Epub 2011 Apr 20.
7
Transplantation of encapsulated hepatocytes during acute liver failure improves survival without stimulating native liver regeneration.急性肝衰竭时包裹肝细胞的移植可提高存活率而不刺激内源性肝再生。
Cell Transplant. 2011;20(11-12):1791-803. doi: 10.3727/096368911X564976. Epub 2011 Mar 7.
8
Iron and oxidative stress in cold-initiated necrotic death of rat hepatocyte.铁与氧化应激在大鼠肝细胞冷启动坏死性死亡中的作用
Transplant Proc. 2010 Jun;42(5):1563-8. doi: 10.1016/j.transproceed.2010.03.143.
9
Optimization of the cryopreservation and thawing protocol for human hepatocytes for use in cell transplantation.优化人肝细胞的冷冻保存和解冻方案,以用于细胞移植。
Liver Transpl. 2010 Feb;16(2):229-37. doi: 10.1002/lt.21983.
10
In vitro analysis of cryopreserved alginate-poly-L-lysine-alginate-microencapsulated human hepatocytes.体外分析冷冻保存的藻酸盐-聚-L-赖氨酸-藻酸盐微囊化人肝细胞。
Liver Int. 2010 Apr;30(4):611-22. doi: 10.1111/j.1478-3231.2009.02197.x. Epub 2010 Jan 11.