1 Department of Radiology & Nuclear Medicine, VU University Medical Center, Amsterdam, the Netherlands.
2 Philips Healthcare, Best, the Netherlands.
J Cereb Blood Flow Metab. 2019 Jan;39(1):163-172. doi: 10.1177/0271678X17730654. Epub 2017 Sep 13.
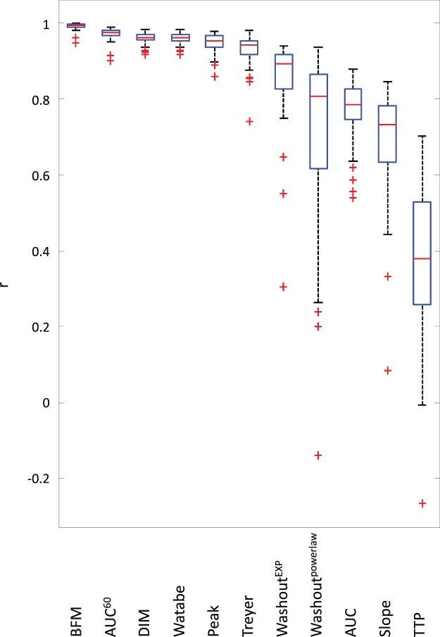
Quantification of regional cerebral blood flow (CBF) using [O]HO positron emission tomography (PET) requires the use of an arterial input function. Arterial sampling, however, is not always possible, for example in ill-conditioned or paediatric patients. Therefore, it is of interest to explore the use of non-invasive methods for the quantification of CBF. For validation of non-invasive methods, test-retest normal and hypercapnia data from 15 healthy volunteers were used. For each subject, the data consisted of up to five dynamic [O]HO brain PET studies of 10 min and including arterial sampling. A measure of CBF was estimated using several non-invasive methods earlier reported in literature. In addition, various parameters were derived from the time-activity curve (TAC). Performance of these methods was assessed by comparison with full kinetic analysis using correlation and agreement analysis. The analysis was repeated with normalization to the whole brain grey matter value, providing relative CBF distributions. A reliable, absolute quantitative estimate of CBF could not be obtained with the reported non-invasive methods. Relative (normalized) CBF was best estimated using the double integration method.
使用 [O]HO 正电子发射断层扫描 (PET) 对局部脑血流 (CBF) 进行定量需要使用动脉输入函数。然而,动脉取样并不总是可行的,例如在情况不佳或儿科患者中。因此,探索用于 CBF 定量的非侵入性方法很有意义。为了验证非侵入性方法,使用了 15 名健康志愿者的测试-重测正常和高碳酸血症数据。对于每个受试者,数据包括多达五次 10 分钟的动态 [O]HO 脑 PET 研究,并包括动脉取样。使用文献中早些时候报道的几种非侵入性方法来估计 CBF。此外,从时间-活性曲线 (TAC) 中得出了各种参数。通过与使用相关性和一致性分析的完整动力学分析进行比较,评估了这些方法的性能。使用归一化到整个大脑灰质值的方法重复了分析,提供了相对 CBF 分布。使用报告的非侵入性方法无法获得 CBF 的可靠、绝对定量估计。相对 (归一化) CBF 最好使用双积分法进行估计。