Research Unit of Biomedicine, and Biocenter of Oulu, Oulu University, 90014, Oulu, Finland.
Department of Gastroenterology and Metabolism, Poznan University of Medical Sciences, Poznan, Poland.
Sci Rep. 2017 Sep 18;7(1):11267. doi: 10.1038/s41598-017-09753-6.
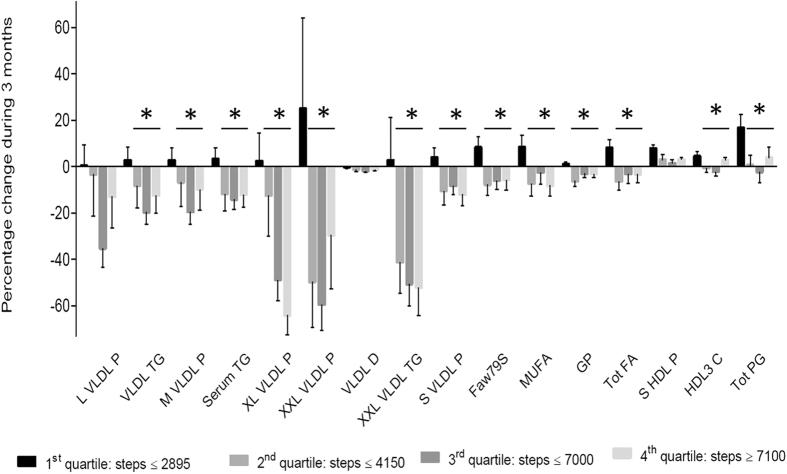
Our objectives were to determine if there are quantitative associations between amounts and intensities of physical activities (PA) on NMR biomarkers and changes in skeletal muscle gene expressions in subjects with high risk for type 2 diabetes (T2D) performing a 3-month PA intervention. We found that PA was associated with beneficial biomarker changes in a factor containing several VLDL and HDL subclasses and lipids in principal component analysis (P = <0.01). Division of PA into quartiles demonstrated significant changes in NMR biomarkers in the 2nd - 4th quartiles compared to the 1st quartile representing PA of less than 2850 daily steps (P = 0.0036). Mediation analysis of PA-related reductions in lipoproteins showed that the effects of PA was 4-15 times greater than those of body weight or fat mass reductions. In a subset study in highly active subjects' gene expressions of oxidative fiber markers, Apo D, and G0/G1 Switch Gene 2, controlling insulin signaling and glucose metabolism were significantly increased. Slow walking at speeds of 2-3 km/h exceeding 2895 steps/day attenuated several circulating lipoprotein lipids. The effects were mediated rather by PA than body weight or fat loss. Thus, lower thresholds for PA may exist for long term prevention of cardio-metabolic diseases in sedentary overweight subjects.
我们的目标是确定在具有 2 型糖尿病(T2D)高风险的受试者中,进行为期 3 个月的体育活动(PA)干预后,PA 的量和强度与骨骼肌肉基因表达的变化之间是否存在定量关联。我们发现,在包含多个 VLDL 和 HDL 亚类和主成分分析(PCA)中脂质的因子中,PA 与有益的生物标志物变化相关(P<0.01)。将 PA 分为四等份,与代表每天少于 2850 步 PA 的第 1 等份相比,第 2-4 等份的 NMR 生物标志物发生了显著变化(P=0.0036)。PA 相关脂蛋白减少的中介分析表明,PA 的作用是体重或脂肪质量减少的 4-15 倍。在高度活跃受试者的亚组研究中,氧化纤维标志物、载脂蛋白 D 和 G0/G1 开关基因 2 的基因表达显著增加,控制胰岛素信号和葡萄糖代谢。每天超过 2895 步以 2-3 公里/小时的速度缓慢行走可减轻几种循环脂蛋白脂质。这些影响主要是由 PA 介导的,而不是由体重或脂肪损失介导的。因此,对于久坐超重人群,预防心血管代谢疾病的 PA 阈值可能更低。