Institute of Cellular Medicine, Newcastle University, Newcastle upon Tyne, UK.
Human Nutrition Research Centre, School of Agriculture, Food and Rural Development, Newcastle University, Newcastle upon Tyne, UK.
Eur J Appl Physiol. 2017 Nov;117(11):2321-2333. doi: 10.1007/s00421-017-3719-5. Epub 2017 Sep 19.
The performance and physiological effects of isomaltulose and maltodextrin consumed intermittently during prolonged soccer-specific exercise were investigated.
University soccer players (n = 22) performed 120 min of intermittent exercise while consuming 8% carbohydrate-electrolyte drinks (equivalent to ~ 20 g h) containing maltodextrin (Glycaemic Index: 90-100), isomaltulose (Glycaemic Index: 32) or a carbohydrate-energy-free placebo in a manner replicating the practices of soccer players (i.e., during warm-up and half-time). Physical (sprinting, jumping) and technical (shooting, dribbling) performance was assessed.
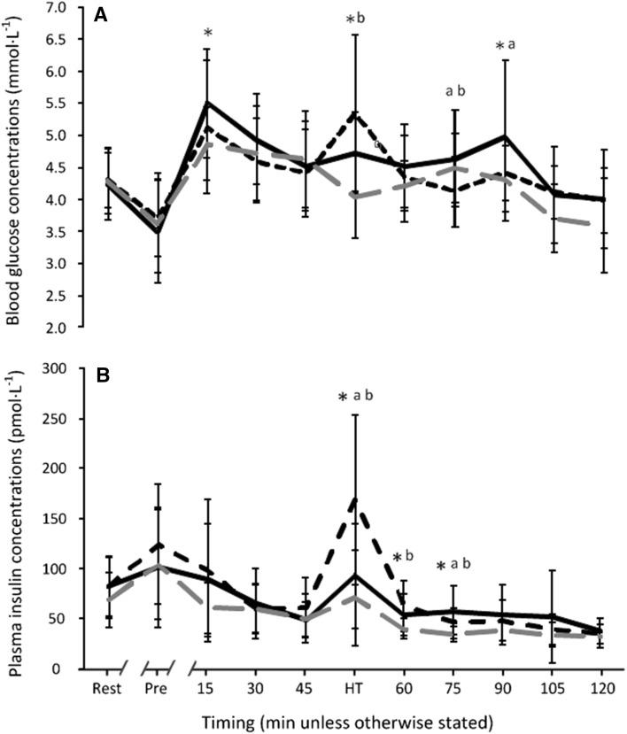
Blood glucose and plasma insulin (both P < 0.001) concentrations varied by trial with isomaltulose maintaining > 13% higher blood glucose concentrations between 75 and 90 min versus maltodextrin (P < 0.05). A decline in glycaemia at 60 min in maltodextrin was attenuated with isomaltulose (-19 versus -4%; P = 0.015). Carbohydrates attenuated elevations in plasma epinephrine concentrations (P < 0.05), but isomaltulose proved most effective at 90 and 120 min. Carbohydrates did not attenuate IL-6 increases or reductions in physical or technical performances (all P > 0.05). Ratings of abdominal discomfort were influenced by trial (P < 0.05) with lower values for both carbohydrates compared to PLA from 60 min onwards.
Although carbohydrates (~ 20 g h) did not attenuate performance reductions throughout prolonged soccer-specific exercise, isomaltulose maintained higher blood glucose at 75-90 min, lessened the magnitude of the exercise-induced rebound glycaemic response and attenuated epinephrine increases whilst maintaining similar abdominal discomfort values relative to maltodextrin. When limited opportunities exist to consume carbohydrates on competition-day, low-glycaemic isomaltulose may offer an alternative nutritional strategy for exercising soccer players.
研究间歇性摄入异麦芽酮糖和麦芽糊精对足球专项运动中长时间运动的表现和生理影响。
22 名大学生足球运动员在 120 分钟的间歇性运动中,以模仿足球运动员的方式(即热身和中场休息时)摄入含有麦芽糊精(血糖指数:90-100)、异麦芽酮糖(血糖指数:32)或无碳水化合物能量安慰剂的 8%碳水化合物电解质饮料(相当于约 20 克/小时)。评估身体(冲刺、跳跃)和技术(射门、运球)表现。
血糖和血浆胰岛素浓度因试验而异,异麦芽酮糖在 75-90 分钟期间维持的血糖浓度比麦芽糊精高 13%以上(P<0.05)。在麦芽糊精中,60 分钟时血糖下降得到缓解,异麦芽酮糖降低了 19%,而不是 4%(P=0.015)。碳水化合物降低了血浆肾上腺素浓度的升高(P<0.05),但异麦芽酮糖在 90 和 120 分钟时最有效。碳水化合物并未减轻 IL-6 的增加或身体或技术表现的下降(所有 P>0.05)。腹部不适的评分受试验影响(P<0.05),从 60 分钟开始,与 PLA 相比,两种碳水化合物的评分都较低。
尽管碳水化合物(约 20 克/小时)并未减轻长时间足球专项运动中表现的下降,但异麦芽酮糖在 75-90 分钟时维持更高的血糖水平,减轻了运动引起的血糖反弹幅度,并降低了肾上腺素的增加,同时与麦芽糊精相比,保持了相似的腹部不适值。在比赛日有限的摄入碳水化合物的机会下,低血糖指数的异麦芽酮糖可能为足球运动员提供一种替代的营养策略。