• 文献检索
  • 文档翻译
  • 深度研究
  • 学术资讯
  • Suppr Zotero 插件Zotero 插件
  • 邀请有礼
  • 套餐&价格
  • 历史记录
应用&插件
Suppr Zotero 插件Zotero 插件浏览器插件Mac 客户端Windows 客户端微信小程序
定价
高级版会员购买积分包购买API积分包
服务
文献检索文档翻译深度研究API 文档MCP 服务
关于我们
关于 Suppr公司介绍联系我们用户协议隐私条款
关注我们

Suppr 超能文献

核心技术专利:CN118964589B侵权必究
粤ICP备2023148730 号-1Suppr @ 2026

文献检索

告别复杂PubMed语法,用中文像聊天一样搜索,搜遍4000万医学文献。AI智能推荐,让科研检索更轻松。

立即免费搜索

文件翻译

保留排版,准确专业,支持PDF/Word/PPT等文件格式,支持 12+语言互译。

免费翻译文档

深度研究

AI帮你快速写综述,25分钟生成高质量综述,智能提取关键信息,辅助科研写作。

立即免费体验

多种应激源对海洋底栖动物的影响:河口生物分类群和功能性状对沉积物、营养物质及金属负荷的响应。

Multiple stressor effects on marine infauna: responses of estuarine taxa and functional traits to sedimentation, nutrient and metal loading.

作者信息

Ellis J I, Clark D, Atalah J, Jiang W, Taiapa C, Patterson M, Sinner J, Hewitt J

机构信息

Cawthron Institute, Private Bag 2, Nelson, 7042, New Zealand.

King Abdullah University of Science and Technology (KAUST), Red Sea Research Center, Division of Biological and Environmental Science and Engineering, Thuwal, 23955-6900, Saudi Arabia.

出版信息

Sci Rep. 2017 Sep 20;7(1):12013. doi: 10.1038/s41598-017-12323-5.

DOI:10.1038/s41598-017-12323-5
PMID:28931887
原文链接:https://pmc.ncbi.nlm.nih.gov/articles/PMC5607226/
Abstract

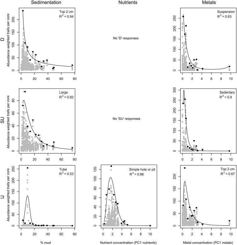
Sedimentation, nutrients and metal loading to coastal environments are increasing, associated with urbanization and global warming, hence there is a growing need to predict ecological responses to such change. Using a regression technique we predicted how maximum abundance of 20 macrobenthic taxa and 22 functional traits separately and interactively responded to these key stressors. The abundance of most taxa declined in response to sedimentation and metal loading while a unimodal response was often associated with nutrient loading. Optimum abundances for both taxa and traits occurred at relatively low stressor levels, highlighting the vulnerability of estuaries to increasing stressor loads. Individual taxa were more susceptible to stress than traits, suggesting that functional traits may be less sensitive for detecting changes in ecosystem health. Multiplicative effects were more common than additive interactions. The observed sensitivity of most taxa to increasing sedimentation and metal loading and the documented interaction effects between multiple stressors have important implications for understanding and managing the ecological consequences of eutrophication, sedimentation and contaminants on coastal ecosystems.

摘要

随着城市化和全球变暖,进入沿海环境的沉积物、营养物质和金属含量不断增加,因此预测生态系统对这种变化的反应变得越来越有必要。我们使用回归技术分别预测了20种大型底栖动物分类群和22种功能性状的最大丰度如何分别以及交互地响应这些关键压力源。大多数分类群的丰度因沉积物和金属含量增加而下降,而单峰响应通常与营养物质含量增加有关。分类群和性状的最佳丰度出现在相对较低的压力源水平,这突出了河口对不断增加的压力源负荷的脆弱性。单个分类群比性状更容易受到压力影响,这表明功能性状在检测生态系统健康变化方面可能不太敏感。相乘效应比相加相互作用更常见。观察到的大多数分类群对沉积物和金属含量增加的敏感性以及多个压力源之间记录的交互作用,对于理解和管理富营养化、沉积物和污染物对沿海生态系统的生态影响具有重要意义。

https://cdn.ncbi.nlm.nih.gov/pmc/blobs/53d1/5607226/80c28e4bd090/41598_2017_12323_Fig5_HTML.jpg
https://cdn.ncbi.nlm.nih.gov/pmc/blobs/53d1/5607226/4c36ac9bdbd4/41598_2017_12323_Fig1_HTML.jpg
https://cdn.ncbi.nlm.nih.gov/pmc/blobs/53d1/5607226/748cedffd269/41598_2017_12323_Fig2_HTML.jpg
https://cdn.ncbi.nlm.nih.gov/pmc/blobs/53d1/5607226/cb115bf1ba95/41598_2017_12323_Fig3_HTML.jpg
https://cdn.ncbi.nlm.nih.gov/pmc/blobs/53d1/5607226/cbed62bdcfb7/41598_2017_12323_Fig4_HTML.jpg
https://cdn.ncbi.nlm.nih.gov/pmc/blobs/53d1/5607226/80c28e4bd090/41598_2017_12323_Fig5_HTML.jpg
https://cdn.ncbi.nlm.nih.gov/pmc/blobs/53d1/5607226/4c36ac9bdbd4/41598_2017_12323_Fig1_HTML.jpg
https://cdn.ncbi.nlm.nih.gov/pmc/blobs/53d1/5607226/748cedffd269/41598_2017_12323_Fig2_HTML.jpg
https://cdn.ncbi.nlm.nih.gov/pmc/blobs/53d1/5607226/cb115bf1ba95/41598_2017_12323_Fig3_HTML.jpg
https://cdn.ncbi.nlm.nih.gov/pmc/blobs/53d1/5607226/cbed62bdcfb7/41598_2017_12323_Fig4_HTML.jpg
https://cdn.ncbi.nlm.nih.gov/pmc/blobs/53d1/5607226/80c28e4bd090/41598_2017_12323_Fig5_HTML.jpg

相似文献

1
Multiple stressor effects on marine infauna: responses of estuarine taxa and functional traits to sedimentation, nutrient and metal loading.多种应激源对海洋底栖动物的影响:河口生物分类群和功能性状对沉积物、营养物质及金属负荷的响应。
Sci Rep. 2017 Sep 20;7(1):12013. doi: 10.1038/s41598-017-12323-5.
2
Multiple stressors, nonlinear effects and the implications of climate change impacts on marine coastal ecosystems.多种胁迫因素、非线性效应以及气候变化对海洋沿海生态系统影响的含义。
Glob Chang Biol. 2016 Aug;22(8):2665-75. doi: 10.1111/gcb.13176. Epub 2016 May 12.
3
Climatic, oceanic, freshwater, and local environmental drivers of New Zealand estuarine macroinvertebrates.新西兰河口大型无脊椎动物的气候、海洋、淡水和局部环境驱动因素。
Mar Environ Res. 2024 May;197:106472. doi: 10.1016/j.marenvres.2024.106472. Epub 2024 Mar 21.
4
Informing the management of multiple stressors on estuarine ecosystems using an expert-based Bayesian Network model.利用基于专家的贝叶斯网络模型来告知管理河口生态系统的多种胁迫因素。
J Environ Manage. 2022 Jan 1;301:113576. doi: 10.1016/j.jenvman.2021.113576. Epub 2021 Sep 28.
5
Biodiversity breakpoints along stress gradients in estuaries and associated shifts in ecosystem interactions.沿河口胁迫梯度的生物多样性临界点及相关的生态系统相互作用变化。
Sci Rep. 2019 Nov 26;9(1):17567. doi: 10.1038/s41598-019-54192-0.
6
Warming and eutrophication combine to restructure diatoms and dinoflagellates.变暖与富营养化共同作用,改变了硅藻和甲藻的结构。
Water Res. 2018 Jan 1;128:206-216. doi: 10.1016/j.watres.2017.10.051. Epub 2017 Oct 24.
7
Interactive effects of climate change with nutrients, mercury, and freshwater acidification on key taxa in the North Atlantic Landscape Conservation Cooperative region.气候变化与营养物质、汞和淡水酸化对北大西洋景观保护合作区域关键类群的交互影响。
Integr Environ Assess Manag. 2015 Jul;11(3):355-69. doi: 10.1002/ieam.1612. Epub 2015 Mar 2.
8
Evaluating multiple stressor research in coastal wetlands: A systematic review.评估沿海湿地的多重胁迫研究:系统综述。
Mar Environ Res. 2021 Feb;164:105239. doi: 10.1016/j.marenvres.2020.105239. Epub 2020 Dec 25.
9
Towards stressor-specific macroinvertebrate indices: Which traits and taxonomic groups are associated with vulnerable and tolerant taxa?面向应激源特异性大型无脊椎动物指标:哪些特征和分类群与易受伤害和耐受类群相关?
Sci Total Environ. 2018 Apr 1;619-620:144-154. doi: 10.1016/j.scitotenv.2017.11.022. Epub 2017 Nov 13.
10
Additive effects prevail: The response of biota to multiple stressors in an intensively monitored watershed.添加剂效应占主导地位:在一个受到密集监测的流域中,生物群对多种胁迫的反应。
Sci Total Environ. 2017 Sep 1;593-594:27-35. doi: 10.1016/j.scitotenv.2017.03.116. Epub 2017 Mar 22.

引用本文的文献

1
Ecological interactions amplify cumulative effects in marine ecosystems.生态相互作用会放大海洋生态系统中的累积效应。
Sci Adv. 2025 Jan 24;11(4):eadp9315. doi: 10.1126/sciadv.adp9315.
2
Facilitation of animals is stronger during summer marine heatwaves and around morphologically complex foundation species.在夏季海洋热浪期间以及形态复杂的基础物种周围,动物的易化作用更强。
Ecol Evol. 2023 Sep 17;13(9):e10512. doi: 10.1002/ece3.10512. eCollection 2023 Sep.
3
Temporal and Spatial Trends in Benthic Infauna and Potential Drivers, in a Highly Tidal Estuary in Atlantic Canada.

本文引用的文献

1
The Consequences of Nonrandomness in Species-Sensitivity in Relation to Functional Traits for Ecosystem-Level Effects of Chemicals.非随机物种敏感性与功能特征相关,对化学品的生态系统水平效应有影响。
Environ Sci Technol. 2017 Jun 20;51(12):7228-7235. doi: 10.1021/acs.est.7b00527. Epub 2017 Jun 5.
2
Integration of community structure data reveals observable effects below sediment guideline thresholds in a large estuary.群落结构数据的整合揭示了大型河口低于沉积物指导阈值时的可观测效应。
Environ Sci Process Impacts. 2017 Sep 20;19(9):1134-1141. doi: 10.1039/c7em00073a.
3
Reconceptualizing synergism and antagonism among multiple stressors.
加拿大新斯科舍省一个受潮汐影响强烈的河口地区底栖动物群落的时空变化趋势及其潜在驱动因素
Estuaries Coast. 2023;46(6):1612-1631. doi: 10.1007/s12237-023-01222-w. Epub 2023 Jun 13.
4
Ecological network analysis of traits reveals variable response capacity to stress.生态网络分析揭示了特征对压力的可变响应能力。
Proc Biol Sci. 2023 May 10;290(1998):20230403. doi: 10.1098/rspb.2023.0403. Epub 2023 May 3.
5
Estimating Effects of Sea Level Rise on Benthic Biodiversity and Ecosystem Functioning in a Large Meso-Tidal Coastal Lagoon.评估海平面上升对大型中潮海岸泻湖底栖生物多样性和生态系统功能的影响。
Biology (Basel). 2023 Jan 10;12(1):105. doi: 10.3390/biology12010105.
6
Assessing Ecological Vulnerability under Climate Change and Anthropogenic Influence in the Yangtze River Estuarine Island-Chongming Island, China.评估气候变化和人为影响下的生态脆弱性——以中国长江河口岛屿-崇明岛为例。
Int J Environ Res Public Health. 2021 Nov 5;18(21):11642. doi: 10.3390/ijerph182111642.
7
Synergistic Effects of Climate Change and Marine Pollution: An Overlooked Interaction in Coastal and Estuarine Areas.气候变化与海洋污染的协同效应:沿海和河口地区被忽视的相互作用。
Int J Environ Res Public Health. 2019 Jul 31;16(15):2737. doi: 10.3390/ijerph16152737.
8
Assessment of trace elements pollution in the sea ports of New South Wales (NSW), Australia using oysters as bioindicators.利用牡蛎作为生物标志物评估澳大利亚新南威尔士州(NSW)海港的微量元素污染。
Sci Rep. 2019 Feb 5;9(1):1416. doi: 10.1038/s41598-018-38196-w.
9
The combined influence of body size and density on cohesive sediment resuspension by bioturbators.生物扰动对具有不同粒径和密度的絮团沉积物再悬浮的综合影响。
Sci Rep. 2018 Mar 1;8(1):3831. doi: 10.1038/s41598-018-22190-3.
重新认识多种应激源之间的协同作用和拮抗作用。
Ecol Evol. 2015 Apr;5(7):1538-47. doi: 10.1002/ece3.1465. Epub 2015 Mar 11.
4
Assessing the nature of the combined effects of copper and zinc on estuarine infaunal communities.评估铜和锌对河口底栖动物群落联合效应的性质。
Environ Pollut. 2011 Jan;159(1):116-124. doi: 10.1016/j.envpol.2010.09.012.
5
Enhancing the ecological significance of sediment contamination guidelines through integration with community analysis.通过与社区分析相结合提高沉积物污染指南的生态意义。
Environ Sci Technol. 2009 Mar 15;43(6):2118-23. doi: 10.1021/es802175k.
6
Interactive and cumulative effects of multiple human stressors in marine systems.海洋系统中多种人类应激源的交互和累积效应。
Ecol Lett. 2008 Dec;11(12):1304-15. doi: 10.1111/j.1461-0248.2008.01253.x.
7
Quantifying the evidence for ecological synergies.量化生态协同效应的证据。
Ecol Lett. 2008 Dec;11(12):1278-86. doi: 10.1111/j.1461-0248.2008.01243.x. Epub 2008 Sep 8.
8
Setting sediment quality guidelines: a simple yet effective method.制定沉积物质量准则:一种简单而有效的方法。
Mar Pollut Bull. 2008;57(6-12):221-35. doi: 10.1016/j.marpolbul.2008.04.022. Epub 2008 Jun 2.
9
A global map of human impact on marine ecosystems.一张人类对海洋生态系统影响的全球地图。
Science. 2008 Feb 15;319(5865):948-52. doi: 10.1126/science.1149345.
10
Deriving site-specific sediment quality guidelines for Hong Kong marine environments using field-based species sensitivity distributions.利用基于现场的物种敏感度分布推导香港海洋环境特定地点的沉积物质量准则。
Environ Toxicol Chem. 2008 Jan;27(1):226-34. doi: 10.1897/07-078.1.