Suppr超能文献

脂质膜中的孔形成 I:从完整双层到疏水缺陷再到横向孔的连续可逆轨迹。

Pore formation in lipid membrane I: Continuous reversible trajectory from intact bilayer through hydrophobic defect to transversal pore.

机构信息

A.N. Frumkin Institute of Physical Chemistry and Electrochemistry, Russian Academy of Sciences, 31/4 Leninskiy prospekt, Moscow, 119071, Russia.

National University of Science and Technology "MISiS", 4 Leninskiy prospekt, Moscow, 119049, Russia.

出版信息

Sci Rep. 2017 Sep 22;7(1):12152. doi: 10.1038/s41598-017-12127-7.

Abstract

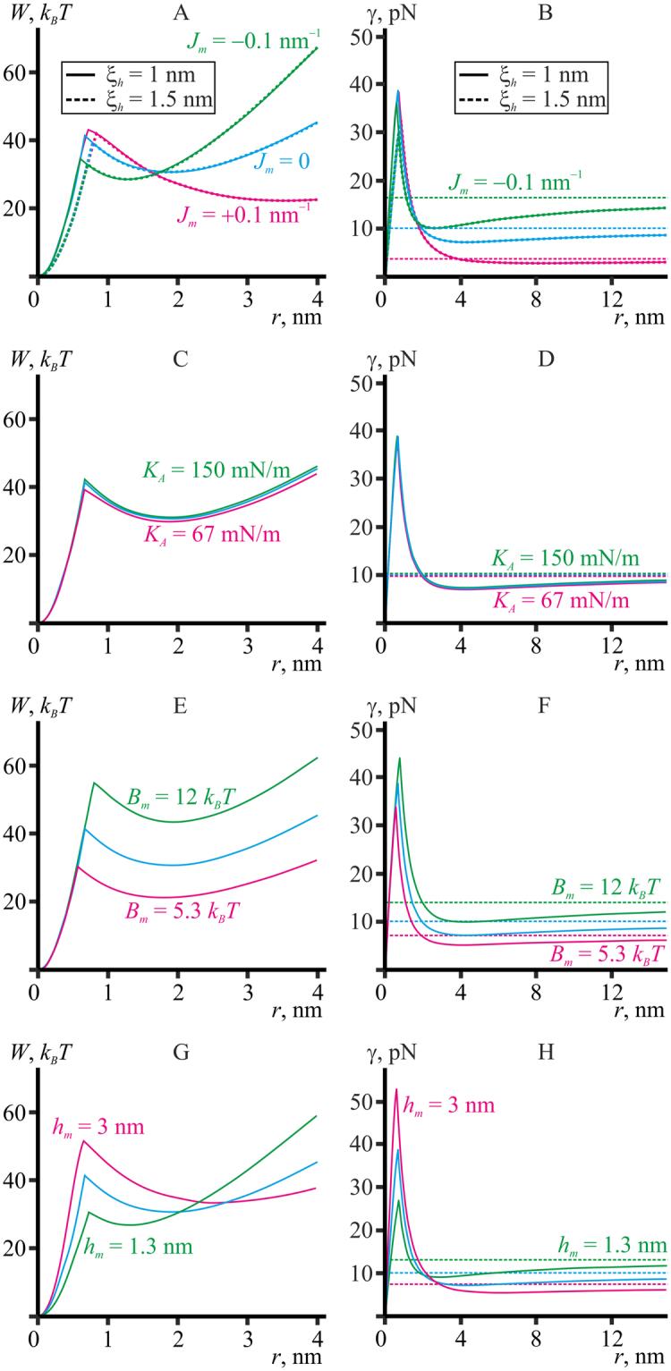
Lipid membranes serve as effective barriers allowing cells to maintain internal composition differing from that of extracellular medium. Membrane permeation, both natural and artificial, can take place via appearance of transversal pores. The rearrangements of lipids leading to pore formation in the intact membrane are not yet understood in details. We applied continuum elasticity theory to obtain continuous trajectory of pore formation and closure, and analyzed molecular dynamics trajectories of pre-formed pore reseal. We hypothesized that a transversal pore is preceded by a hydrophobic defect: intermediate structure spanning through the membrane, the side walls of which are partially aligned by lipid tails. This prediction was confirmed by our molecular dynamics simulations. Conversion of the hydrophobic defect into the hydrophilic pore required surmounting some energy barrier. A metastable state was found for the hydrophilic pore at the radius of a few nanometers. The dependence of the energy on radius was approximately quadratic for hydrophobic defect and small hydrophilic pore, while for large radii it depended on the radius linearly. The pore energy related to its perimeter, line tension, thus depends of the pore radius. Calculated values of the line tension for large pores were in quantitative agreement with available experimental data.

摘要

脂质膜作为有效的屏障,允许细胞维持内部组成与细胞外介质不同。膜渗透,无论是天然的还是人工的,都可以通过横向孔的出现来实现。导致完整膜中孔形成的脂质重排尚未详细了解。我们应用连续弹性理论来获得孔形成和闭合的连续轨迹,并分析预形成孔再封闭的分子动力学轨迹。我们假设横向孔之前存在疏水缺陷:中间结构贯穿膜,其侧壁部分由脂质尾部对齐。我们的分子动力学模拟证实了这一预测。将疏水缺陷转化为亲水孔需要克服一些能量障碍。在几个纳米的半径处发现了亲水孔的亚稳态。对于疏水缺陷和小亲水孔,能量对半径的依赖性近似为二次方,而对于较大半径,它与半径呈线性相关。与孔周长相关的孔能,即线张力,因此取决于孔半径。对于大孔的线张力的计算值与可用的实验数据定量一致。

https://cdn.ncbi.nlm.nih.gov/pmc/blobs/2e9c/5610326/24d780cfc64b/41598_2017_12127_Fig1_HTML.jpg

文献检索

告别复杂PubMed语法,用中文像聊天一样搜索,搜遍4000万医学文献。AI智能推荐,让科研检索更轻松。

立即免费搜索

文件翻译

保留排版,准确专业,支持PDF/Word/PPT等文件格式,支持 12+语言互译。

免费翻译文档

深度研究

AI帮你快速写综述,25分钟生成高质量综述,智能提取关键信息,辅助科研写作。

立即免费体验