Suppr超能文献

脂质膜中的孔形成 II:外应力下的能量景观。

Pore formation in lipid membrane II: Energy landscape under external stress.

机构信息

A.N. Frumkin Institute of Physical Chemistry and Electrochemistry, Russian Academy of Sciences, 31/4 Leninskiy prospekt, Moscow, 119071, Russia.

National University of Science and Technology "MISiS", 4 Leninskiy prospekt, Moscow, 119049, Russia.

出版信息

Sci Rep. 2017 Oct 2;7(1):12509. doi: 10.1038/s41598-017-12749-x.

Abstract

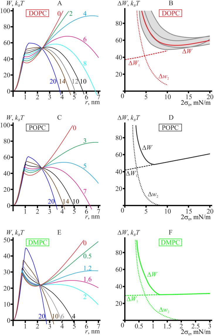
Lipid membranes are extremely stable envelopes allowing cells to survive in various environments and to maintain desired internal composition. Membrane permeation through formation of transversal pores requires substantial external stress. Practically, pores are usually formed by application of lateral tension or transmembrane voltage. Using the same approach as was used for obtaining continuous trajectory of pore formation in the stress-less membrane in the previous article, we now consider the process of pore formation under the external stress. The waiting time to pore formation proved a non-monotonous function of the lateral tension, dropping from infinity at zero tension to a minimum at the tension of several millinewtons per meter. Transmembrane voltage, on the contrary, caused the waiting time to decrease monotonously. Analysis of pore formation trajectories for several lipid species with different spontaneous curvatures and elastic moduli under various external conditions provided instrumental insights into the mechanisms underlying some experimentally observed phenomena.

摘要

脂质膜是非常稳定的包膜,使细胞能够在各种环境中生存,并维持所需的内部组成。通过形成横向孔来实现膜渗透需要大量的外部应力。实际上,孔通常通过施加横向张力或跨膜电压来形成。使用与上一篇文章中获得无应力膜中孔形成连续轨迹相同的方法,我们现在考虑在外部应力下的孔形成过程。形成孔的等待时间被证明是横向张力的非单调函数,从零张力时的无穷大下降到几毫牛顿/米的张力时的最小值。相反,跨膜电压会导致等待时间单调下降。在各种外部条件下,对几种具有不同自发曲率和弹性模量的脂质物种的孔形成轨迹进行分析,为一些实验观察到的现象的潜在机制提供了有价值的见解。

https://cdn.ncbi.nlm.nih.gov/pmc/blobs/f2e8/5624950/9ffc48d48280/41598_2017_12749_Fig1_HTML.jpg

文献AI研究员

20分钟写一篇综述,助力文献阅读效率提升50倍。

立即体验

用中文搜PubMed

大模型驱动的PubMed中文搜索引擎

马上搜索

文档翻译

学术文献翻译模型,支持多种主流文档格式。

立即体验