Yun Seong Dae, Shah N Jon
Institute of Neuroscience and Medicine, Medical Imaging Physics (INM-4), Forschungszentrum Jülich GmbH, Jülich, Germany.
Department of Neurology, Faculty of Medicine, JARA, RWTH Aachen University, Aachen, Germany.
PLoS One. 2017 Sep 25;12(9):e0184759. doi: 10.1371/journal.pone.0184759. eCollection 2017.
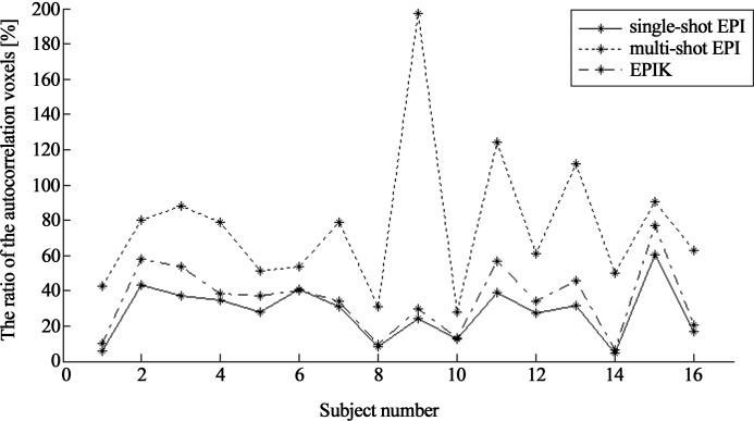
The relatively high imaging speed of EPI has led to its widespread use in dynamic MRI studies such as functional MRI. An approach to improve the performance of EPI, EPI with Keyhole (EPIK), has been previously presented and its use in fMRI was verified at 1.5T as well as 3T. The method has been proven to achieve a higher temporal resolution and smaller image distortions when compared to single-shot EPI. Furthermore, the performance of EPIK in the detection of functional signals was shown to be comparable to that of EPI. For these reasons, we were motivated to employ EPIK here for high-resolution imaging. The method was optimised to offer the highest possible in-plane resolution and slice coverage under the given imaging constraints: fixed TR/TE, FOV and acceleration factors for parallel imaging and partial Fourier techniques. The performance of EPIK was evaluated in direct comparison to the optimised protocol obtained from EPI. The two imaging methods were applied to visual fMRI experiments involving sixteen subjects. The results showed that enhanced spatial resolution with a whole-brain coverage was achieved by EPIK (1.00 mm × 1.00 mm; 32 slices) when compared to EPI (1.25 mm × 1.25 mm; 28 slices). As a consequence, enhanced characterisation of functional areas has been demonstrated in EPIK particularly for relatively small brain regions such as the lateral geniculate nucleus (LGN) and superior colliculus (SC); overall, a significantly increased t-value and activation area were observed from EPIK data. Lastly, the use of EPIK for fMRI was validated with the simulation of different types of data reconstruction methods.
回波平面成像(EPI)相对较高的成像速度使其在诸如功能磁共振成像等动态磁共振成像研究中得到广泛应用。此前已提出一种改进EPI性能的方法——带钥匙孔的EPI(EPIK),并且已在1.5T和3T场强下验证了其在功能磁共振成像中的应用。与单次激发EPI相比,该方法已被证明能实现更高的时间分辨率和更小的图像失真。此外,EPIK在检测功能信号方面的性能与EPI相当。基于这些原因,我们在此有动力采用EPIK进行高分辨率成像。该方法在给定的成像约束条件下进行了优化,以提供尽可能高的平面分辨率和层面覆盖范围:固定的重复时间/回波时间(TR/TE)、视野(FOV)以及并行成像和部分傅里叶技术的加速因子。通过与从EPI获得的优化方案直接比较来评估EPIK的性能。这两种成像方法应用于涉及16名受试者的视觉功能磁共振成像实验。结果表明,与EPI(1.25毫米×1.25毫米;28层)相比,EPIK(1.00毫米×1.00毫米;32层)实现了全脑覆盖且空间分辨率增强。因此,在EPIK中已证明对功能区的特征描述得到增强,特别是对于相对较小的脑区,如外侧膝状体(LGN)和上丘(SC);总体而言,从EPIK数据中观察到t值和激活面积显著增加。最后,通过模拟不同类型的数据重建方法验证了EPIK在功能磁共振成像中的应用。