Suppr超能文献

高良姜中环三萜抑制白细胞介素-6 诱导的 STAT3 激活

Acyclic Triterpenoids from Alpinia katsumadai Inhibit IL-6-Induced STAT3 Activation.

机构信息

Immunoregulatory Material Research Center, Korea Research Institute of Bioscience and Biotechnology, 181 Ipsin-gil, Jeongeup-si, Jeonbuk 56212, Korea.

出版信息

Molecules. 2017 Sep 25;22(10):1611. doi: 10.3390/molecules22101611.

Abstract

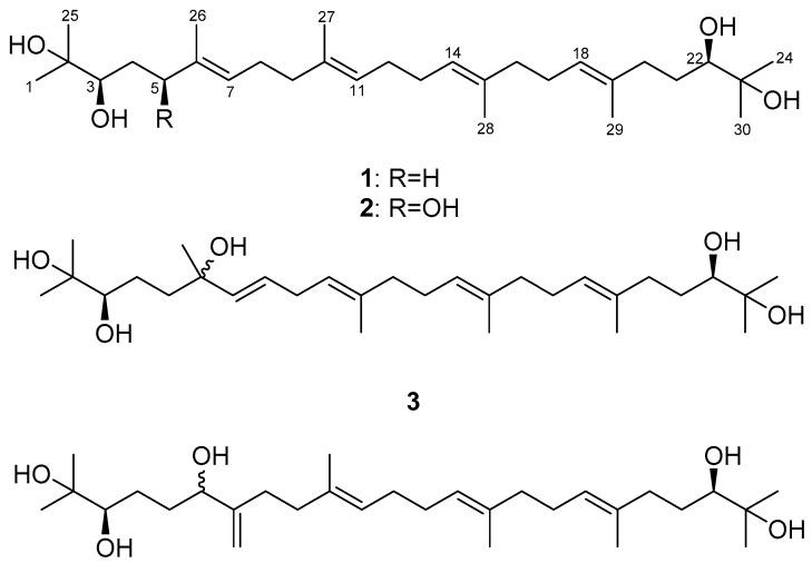
The seeds of yielded two new acyclic triterpenoids, 2,3,6,22,23-pentahydroxy-2,6,11,15,19,23-hexamethyl-tetracosa-7,10,14,18-tetraene () and 2,3,6,22,23-pentahydroxy-2,10,15,19,23-hexamethyl-7-methylenetetracosa-10,14,18-triene (), as well as two known compounds, 2,3,22,23-tertrahydroxy-2,6,10,15,19,23-hexamethyl-tetracosa-6,10,14,18-tetraene () and 2,3,5,22,23-pentahydroxy-2,6,10,15,19,23-hexamethyl-tetracosa-6,10,14,18-tetraene (). The absolute configurations of and , which were determined by means of a modified Mosher's method, are suggested as (; ; ) and (; ), respectively. Compounds - inhibited IL-6-induced JAK2/STAT3 activity in a dose-dependent fashion, with IC values of 0.67, 0.71, 2.18, and 2.99 μM. Moreover, IL-6-stimulated phosphorylation of STAT3 was significantly suppressed in U266 cells by the administration of EtOH extract and Compounds and . These results suggest that major phytochemicals, Compounds and , obtained from may be useful candidates for designing new IL-6 inhibitors as anti-inflammatory agents.

摘要

从种子中分离得到两种新的无环三萜类化合物 2,3,6,22,23-五羟基-2,6,11,15,19,23-六甲基二十四碳-7,10,14,18-四烯()和 2,3,6,22,23-五羟基-2,10,15,19,23-六甲基-7-亚甲基二十四碳-10,14,18-三烯(),以及两种已知化合物 2,3,22,23-四羟基-2,6,10,15,19,23-六甲基二十四碳-6,10,14,18-四烯()和 2,3,5,22,23-五羟基-2,6,10,15,19,23-六甲基二十四碳-6,10,14,18-四烯()。通过改进的 Mosher 法确定了和的绝对构型分别为(;;)和(;)。化合物-以剂量依赖的方式抑制 IL-6 诱导的 JAK2/STAT3 活性,IC 值分别为 0.67、0.71、2.18 和 2.99 μM。此外,在 U266 细胞中,通过给予 乙醇提取物和化合物和,IL-6 刺激的 STAT3 磷酸化显著受到抑制。这些结果表明,从获得的主要植物化学物质化合物和可能是设计新的 IL-6 抑制剂作为抗炎剂的有用候选物。

https://cdn.ncbi.nlm.nih.gov/pmc/blobs/d6ce/6151764/e635ea910bd5/molecules-22-01611-g001.jpg

文献AI研究员

20分钟写一篇综述,助力文献阅读效率提升50倍。

立即体验

用中文搜PubMed

大模型驱动的PubMed中文搜索引擎

马上搜索

文档翻译

学术文献翻译模型,支持多种主流文档格式。

立即体验