Suppr超能文献

预测栖息地改造对相互作用物种网络的影响。

Predicting the effect of habitat modification on networks of interacting species.

作者信息

Staniczenko Phillip P A, Lewis Owen T, Tylianakis Jason M, Albrecht Matthias, Coudrain Valérie, Klein Alexandra-Maria, Reed-Tsochas Felix

机构信息

National Socio-Environmental Synthesis Center (SESYNC), Annapolis, MD, 21401, USA.

Department of Biology, University of Maryland College Park, Maryland, MD, 20742, USA.

出版信息

Nat Commun. 2017 Oct 6;8(1):792. doi: 10.1038/s41467-017-00913-w.

Abstract

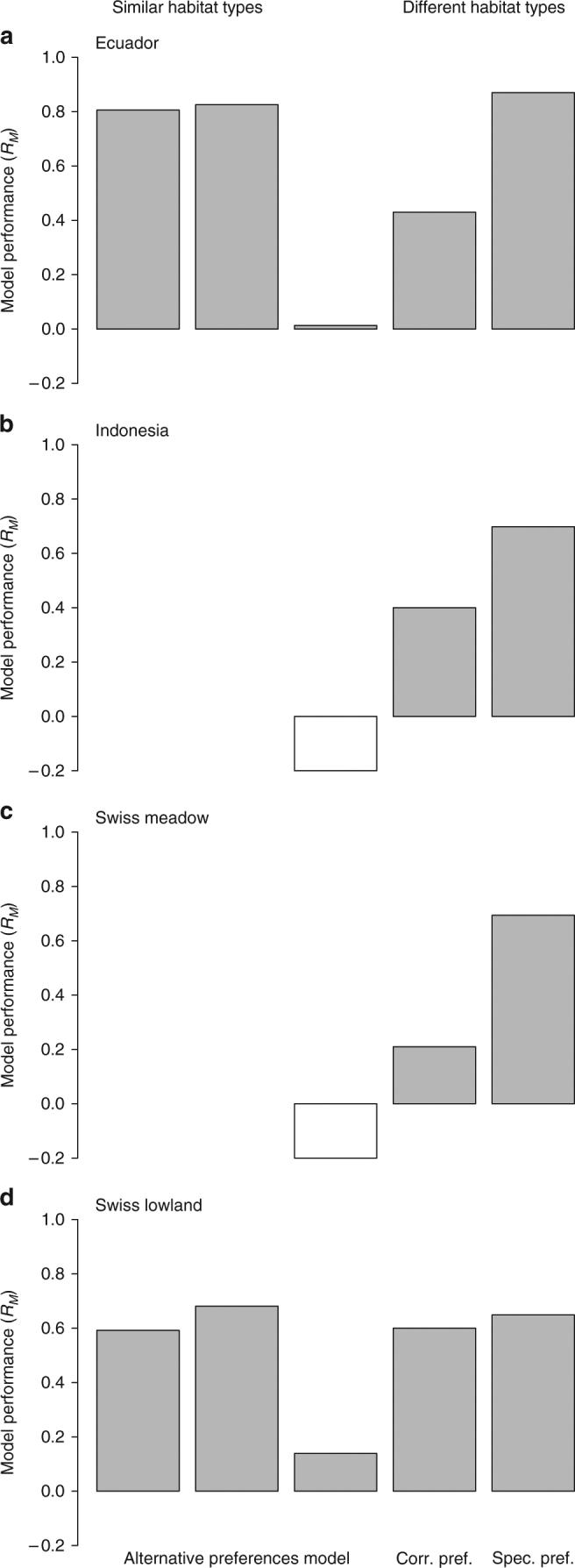
A pressing challenge for ecologists is predicting how human-driven environmental changes will affect the complex pattern of interactions among species in a community. Weighted networks are an important tool for studying changes in interspecific interactions because they record interaction frequencies in addition to presence or absence at a field site. Here we show that changes in weighted network structure following habitat modification are, in principle, predictable. Our approach combines field data with mathematical models: the models separate changes in relative species abundance from changes in interaction preferences (which describe how interaction frequencies deviate from random encounters). The models with the best predictive ability compared to data requirement are those that capture systematic changes in interaction preferences between different habitat types. Our results suggest a viable approach for predicting the consequences of rapid environmental change for the structure of complex ecological networks, even in the absence of detailed, system-specific empirical data.In a changing world, the ability to predict the impact of environmental change on ecological communities is essential. Here, the authors show that by separating species abundances from interaction preferences, they can predict the effects of habitat modification on the structure of weighted species interaction networks, even with limited data.

摘要

生态学家面临的一个紧迫挑战是预测人类驱动的环境变化将如何影响群落中物种间复杂的相互作用模式。加权网络是研究种间相互作用变化的重要工具,因为除了记录实地观察点物种间相互作用的有无外,它还能记录相互作用的频率。在此我们表明,栖息地改变后加权网络结构的变化原则上是可预测的。我们的方法将实地数据与数学模型相结合:这些模型将相对物种丰度的变化与相互作用偏好的变化区分开来(相互作用偏好描述了相互作用频率与随机相遇情况的偏离程度)。与数据需求相比,预测能力最佳的模型是那些能够捕捉不同栖息地类型之间相互作用偏好系统变化的模型。我们的结果表明,即使没有详细的、针对特定系统的实证数据,也存在一种可行的方法来预测快速环境变化对复杂生态网络结构的影响。在不断变化的世界中,预测环境变化对生态群落影响的能力至关重要。在此,作者表明,通过将物种丰度与相互作用偏好区分开来,即使数据有限,他们也能够预测栖息地改变对加权物种相互作用网络结构的影响。

https://cdn.ncbi.nlm.nih.gov/pmc/blobs/e4cf/5630616/fe9dac1692c3/41467_2017_913_Fig1_HTML.jpg

文献检索

告别复杂PubMed语法,用中文像聊天一样搜索,搜遍4000万医学文献。AI智能推荐,让科研检索更轻松。

立即免费搜索

文件翻译

保留排版,准确专业,支持PDF/Word/PPT等文件格式,支持 12+语言互译。

免费翻译文档

深度研究

AI帮你快速写综述,25分钟生成高质量综述,智能提取关键信息,辅助科研写作。

立即免费体验