Suppr超能文献

基于机器学习算法和水质指数对中国艾比湖流域水质的评估

Evaluation of water quality based on a machine learning algorithm and water quality index for the Ebinur Lake Watershed, China.

作者信息

Wang Xiaoping, Zhang Fei, Ding Jianli

机构信息

College of Resources and Environment Science, Xinjiang University, Urumqi, 830046, Xinjiang, China.

Key Laboratory of Oasis Ecology, Xinjiang University, Urumqi, 830046, Xinjiang, China.

出版信息

Sci Rep. 2017 Oct 9;7(1):12858. doi: 10.1038/s41598-017-12853-y.

Abstract

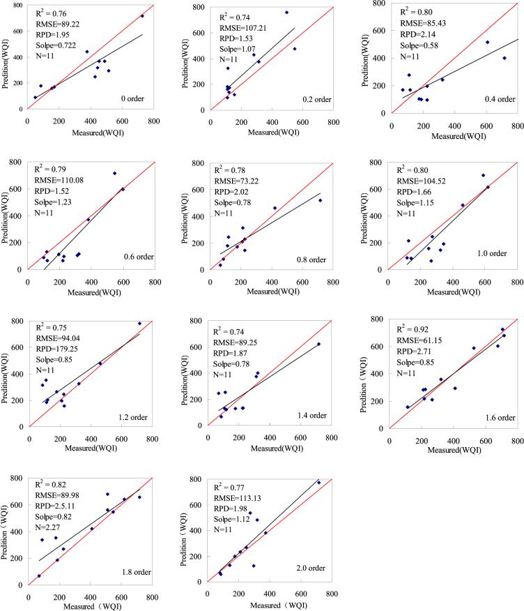
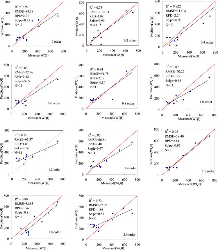
The water quality index (WQI) has been used to identify threats to water quality and to support better water resource management. This study combines a machine learning algorithm, WQI, and remote sensing spectral indices (difference index, DI; ratio index, RI; and normalized difference index, NDI) through fractional derivatives methods and in turn establishes a model for estimating and assessing the WQI. The results show that the calculated WQI values range between 56.61 and 2,886.51. We also explore the relationship between reflectance data and the WQI. The number of bands with correlation coefficients passing a significance test at 0.01 first increases and then decreases with a peak appearing after 1.6 orders. WQI and DI as well as RI and NDI correlation coefficients between optimal band combinations of the peak also appear after 1.6 orders with R values of 0.92, 0.58 and 0.92. Finally, 22 WQI estimation models were established by POS-SVR to compare the predictive effects of these models. The models based on a spectral index of 1.6 were found to perform much better than the others, with an R of 0.92, an RMSE of 58.4, and an RPD of 2.81 and a slope of curve fitting of 0.97.

摘要

水质指数(WQI)已被用于识别对水质的威胁,并支持更好的水资源管理。本研究通过分数阶导数方法将机器学习算法、WQI和遥感光谱指数(差异指数,DI;比值指数,RI;归一化差异指数,NDI)相结合,进而建立了一个用于估计和评估WQI的模型。结果表明,计算出的WQI值在56.61至2886.51之间。我们还探讨了反射率数据与WQI之间的关系。相关系数通过0.01显著性检验的波段数量先增加后减少,在1.6阶后出现峰值。WQI与DI以及RI与NDI在峰值的最佳波段组合之间的相关系数也在1.6阶后出现,R值分别为0.92、0.58和0.92。最后,通过POS-SVR建立了22个WQI估计模型,以比较这些模型的预测效果。发现基于1.6光谱指数的模型表现远优于其他模型,R为0.92,RMSE为58.4,RPD为2.81,曲线拟合斜率为0.97。

https://cdn.ncbi.nlm.nih.gov/pmc/blobs/3c40/5634425/866923c17cad/41598_2017_12853_Fig1_HTML.jpg

相似文献

4
5
Optimisation and interpretation of machine and deep learning models for improved water quality management in Lake Loktak.
J Environ Manage. 2024 Feb;351:119866. doi: 10.1016/j.jenvman.2023.119866. Epub 2023 Dec 25.
6
Remote sensing-based water quality index estimation using data-driven approaches: a case study of the Kali River in Uttar Pradesh, India.
Environ Dev Sustain. 2021;23(12):18252-18277. doi: 10.1007/s10668-021-01437-6. Epub 2021 Apr 21.
8
Estimating the water quality index based on interpretable machine learning models.
Water Sci Technol. 2024 Mar;89(5):1340-1356. doi: 10.2166/wst.2024.068.
10
Assessing river water quality using water quality index in Lake Taihu Basin, China.
Sci Total Environ. 2018 Jan 15;612:914-922. doi: 10.1016/j.scitotenv.2017.08.293. Epub 2017 Sep 5.

引用本文的文献

2
Remote Sensing Techniques for Water Quality Monitoring: A Review.
Sensors (Basel). 2024 Dec 17;24(24):8041. doi: 10.3390/s24248041.
4
Smart Water Quality Monitoring with IoT Wireless Sensor Networks.
Sensors (Basel). 2024 Apr 30;24(9):2871. doi: 10.3390/s24092871.
5
Application of machine learning techniques to predict groundwater quality in the Nabogo Basin, Northern Ghana.
Heliyon. 2024 Mar 30;10(7):e28527. doi: 10.1016/j.heliyon.2024.e28527. eCollection 2024 Apr 15.
9

本文引用的文献

1
Seasonal patterns of water quality and phytoplankton dynamics in surface waters in Guangzhou and Foshan, China.
Sci Total Environ. 2017 Jul 15;590-591:361-369. doi: 10.1016/j.scitotenv.2017.02.032. Epub 2017 Mar 10.
2
Water shortages raised a legitimate concern over the sustainable development of the drylands of northern China: Evidence from the water stress index.
Sci Total Environ. 2017 Jul 15;590-591:739-750. doi: 10.1016/j.scitotenv.2017.03.037. Epub 2017 Mar 8.
3
Introducing a water quality index for assessing water for irrigation purposes: A case study of the Ghezel Ozan River.
Sci Total Environ. 2017 Jul 1;589:107-116. doi: 10.1016/j.scitotenv.2017.02.226. Epub 2017 Mar 6.
4
Developing an Integrated Modeling Tool for River Water Quality Index Assessment.
Water Environ Res. 2017 Mar 1;89(3):260-273. doi: 10.2175/106143016X14798353399584.
5
Evaluation of water quality using water quality index (WQI) method and GIS in Aksu River (SW-Turkey).
Sci Total Environ. 2017 Apr 15;584-585:131-144. doi: 10.1016/j.scitotenv.2017.01.102. Epub 2017 Jan 29.
6
Water quality assessment in Qu River based on fuzzy water pollution index method.
J Environ Sci (China). 2016 Dec;50:87-92. doi: 10.1016/j.jes.2016.03.030. Epub 2016 Jul 1.
7
Nitrogen and phosphorus in sediments in China: A national-scale assessment and review.
Sci Total Environ. 2017 Jan 15;576:840-849. doi: 10.1016/j.scitotenv.2016.10.136. Epub 2016 Nov 6.
8
Impacts of land use and population density on seasonal surface water quality using a modified geographically weighted regression.
Sci Total Environ. 2016 Dec 1;572:450-466. doi: 10.1016/j.scitotenv.2016.08.052. Epub 2016 Aug 18.
9
A Comprehensive Review on Water Quality Parameters Estimation Using Remote Sensing Techniques.
Sensors (Basel). 2016 Aug 16;16(8):1298. doi: 10.3390/s16081298.

文献AI研究员

20分钟写一篇综述,助力文献阅读效率提升50倍。

立即体验

用中文搜PubMed

大模型驱动的PubMed中文搜索引擎

马上搜索

文档翻译

学术文献翻译模型,支持多种主流文档格式。

立即体验