• 文献检索
  • 文档翻译
  • 深度研究
  • 学术资讯
  • Suppr Zotero 插件Zotero 插件
  • 邀请有礼
  • 套餐&价格
  • 历史记录
应用&插件
Suppr Zotero 插件Zotero 插件浏览器插件Mac 客户端Windows 客户端微信小程序
定价
高级版会员购买积分包购买API积分包
服务
文献检索文档翻译深度研究API 文档MCP 服务
关于我们
关于 Suppr公司介绍联系我们用户协议隐私条款
关注我们

Suppr 超能文献

核心技术专利:CN118964589B侵权必究
粤ICP备2023148730 号-1Suppr @ 2026

文献检索

告别复杂PubMed语法,用中文像聊天一样搜索,搜遍4000万医学文献。AI智能推荐,让科研检索更轻松。

立即免费搜索

文件翻译

保留排版,准确专业,支持PDF/Word/PPT等文件格式,支持 12+语言互译。

免费翻译文档

深度研究

AI帮你快速写综述,25分钟生成高质量综述,智能提取关键信息,辅助科研写作。

立即免费体验

农业中诱捕筑巢黄蜂和蜜蜂:佛罗里达州播种野花地块与休耕地块的比较

Trap Nesting Wasps and Bees in Agriculture: A Comparison of Sown Wildflower and Fallow Plots in Florida.

作者信息

Campbell Joshua W, Smithers Cherice, Irvin Allyn, Kimmel Chase B, Stanley-Stahr Cory, Daniels Jaret C, Ellis James D

机构信息

Steinmetz Hall, Department of Entomology and Nematology, University of Florida, Natural Area Dr., Gainesville, FL 32611, USA.

Upland Habitat Research & Monitoring, Wildlife Research Laboratory, Fish and Wildlife Research Institute (FWRI), 1105 SW Williston Road, Gainesville, FL 32601, USA.

出版信息

Insects. 2017 Oct 10;8(4):107. doi: 10.3390/insects8040107.

DOI:10.3390/insects8040107
PMID:28994726
原文链接:https://pmc.ncbi.nlm.nih.gov/articles/PMC5746790/
Abstract

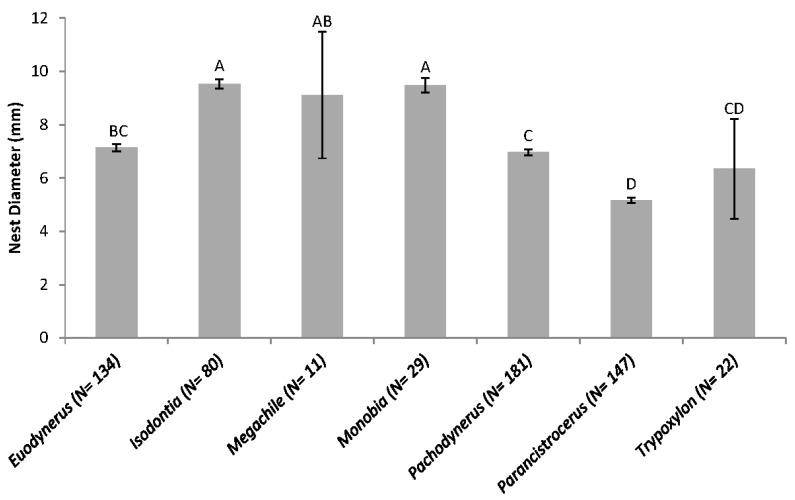
Wildflower strip plantings in intensive agricultural systems have become a widespread tool for promoting pollination services and biological conservation because of their use by wasps and bees. Many of the trap-nesting wasps are important predators of common crop pests, and cavity-nesting bees that utilize trap-nests are important pollinators for native plants and many crops. The impact of wildflower strips on the nesting frequency of trap-nesting wasps or bees within localized areas has not been thoroughly investigated. Trap-nests made of bamboo reeds ( sp.) were placed adjacent to eight 0.1 ha wildflower plots and paired fallow areas (control plots) to determine if wildflower strips encourage the nesting of wasps and bees. From August 2014 to November 2015, occupied reeds were gathered and adults were collected as they emerged from the trap-nests. Treatment (wildflower or fallow plots) did not impact the number of occupied reeds or species richness of trap-nesting wasps using the occupied reeds. The wasps , , , and spp. were the most common trap-nesting species collected. Less than 2% of the occupied reeds contained bees, and all were from the genus . The nesting wasp and bee species demonstrated preferences for reeds with certain inside diameters (IDs). The narrow range of ID preferences exhibited by each bee/wasp may provide opportunities to take advantage of their natural histories for biological control and/or pollination purposes.

摘要

在集约化农业系统中,由于黄蜂和蜜蜂会利用野花带,因此种植野花带已成为促进授粉服务和生物保护的一种广泛使用的手段。许多筑巢诱捕型黄蜂是常见农作物害虫的重要捕食者,而利用筑巢诱捕器的筑巢型蜜蜂则是本地植物和许多农作物的重要传粉者。野花带对局部区域内筑巢诱捕型黄蜂或蜜蜂筑巢频率的影响尚未得到充分研究。将由竹芦苇(物种)制成的筑巢诱捕器放置在八个0.1公顷的野花地块和配对的休耕地(对照地块)附近,以确定野花带是否会促进黄蜂和蜜蜂筑巢。从2014年8月到2015年11月,收集被占用的芦苇,并在成虫从筑巢诱捕器中羽化时收集成虫。处理方式(野花地块或休耕地块)并未影响被占用芦苇的数量,也未影响使用被占用芦苇的筑巢诱捕型黄蜂的物种丰富度。黄蜂、、、和属是收集到的最常见的筑巢诱捕物种。被占用的芦苇中不到2% 含有蜜蜂,且所有蜜蜂均来自属。筑巢黄蜂和蜜蜂物种对具有特定内径(ID)的芦苇表现出偏好。每种蜜蜂/黄蜂表现出的内径偏好范围较窄,这可能为利用它们的自然习性进行生物防治和/或授粉目的提供机会。

https://cdn.ncbi.nlm.nih.gov/pmc/blobs/72ba/5746790/ec921b775859/insects-08-00107-g003.jpg
https://cdn.ncbi.nlm.nih.gov/pmc/blobs/72ba/5746790/157731d5fb5e/insects-08-00107-g001.jpg
https://cdn.ncbi.nlm.nih.gov/pmc/blobs/72ba/5746790/69fb0346440c/insects-08-00107-g002.jpg
https://cdn.ncbi.nlm.nih.gov/pmc/blobs/72ba/5746790/ec921b775859/insects-08-00107-g003.jpg
https://cdn.ncbi.nlm.nih.gov/pmc/blobs/72ba/5746790/157731d5fb5e/insects-08-00107-g001.jpg
https://cdn.ncbi.nlm.nih.gov/pmc/blobs/72ba/5746790/69fb0346440c/insects-08-00107-g002.jpg
https://cdn.ncbi.nlm.nih.gov/pmc/blobs/72ba/5746790/ec921b775859/insects-08-00107-g003.jpg

相似文献

1
Trap Nesting Wasps and Bees in Agriculture: A Comparison of Sown Wildflower and Fallow Plots in Florida.农业中诱捕筑巢黄蜂和蜜蜂:佛罗里达州播种野花地块与休耕地块的比较
Insects. 2017 Oct 10;8(4):107. doi: 10.3390/insects8040107.
2
Wildflower plantings enhance nesting opportunities for soil-nesting bees.野花种植可以为土壤筑巢的蜜蜂提供更多的筑巢机会。
Ecol Appl. 2024 Mar;34(2):e2935. doi: 10.1002/eap.2935. Epub 2024 Jan 25.
3
Eastern Carpenter Bee (Hymenoptera: Apidae): Nest Structure, Nest Cell Provisions, and Trap Nest Acceptance in Rhode Island.东方木蜂(膜翅目:蜜蜂科):罗德岛的巢穴结构、巢室供给及诱捕巢接受情况
Environ Entomol. 2019 Jun 7;48(3):702-710. doi: 10.1093/ee/nvz032.
4
The importance of landscape and spatial structure for hymenopteran-based food webs in an agro-ecosystem.景观和空间结构对农业生态系统中以膜翅目昆虫为基础的食物网的重要性。
J Anim Ecol. 2013 Nov;82(6):1203-14. doi: 10.1111/1365-2656.12103. Epub 2013 Jul 17.
5
Trap-nesting bees and wasps colonizing set-aside fields: succession and body size, management by cutting and sowing.在预留田筑巢的蜜蜂和黄蜂:演替与体型大小,割除与播种管理
Oecologia. 1994 Jun;98(1):8-14. doi: 10.1007/BF00326084.
6
Use of nest bundles to monitor agrochemical exposure and effects among cavity nesting pollinators.利用巢束监测腔巢传粉媒介的农用化学品暴露和影响。
Environ Pollut. 2021 Oct 1;286:117142. doi: 10.1016/j.envpol.2021.117142. Epub 2021 May 3.
7
No Vertical Stratification Found in Cavity-Nesting bees and Wasps in Two Neotropical Forests of Argentina.在阿根廷两片新热带森林的洞穴筑巢蜜蜂和黄蜂中未发现垂直分层现象。
Neotrop Entomol. 2019 Oct;48(5):779-787. doi: 10.1007/s13744-019-00696-3. Epub 2019 May 10.
8
Grass strip corridors in agricultural landscapes enhance nest-site colonization by solitary wasps.农业景观中的草带走廊增加了独居黄蜂对筑巢地点的开拓。
Ecol Appl. 2009 Jan;19(1):123-32. doi: 10.1890/08-0384.1.
9
How do landscape composition and configuration, organic farming and fallow strips affect the diversity of bees, wasps and their parasitoids?景观组成和配置、有机农业和休耕带如何影响蜜蜂、胡蜂及其寄生性天敌的多样性?
J Anim Ecol. 2010 Mar;79(2):491-500. doi: 10.1111/j.1365-2656.2009.01642.x. Epub 2009 Dec 8.
10
Trap-nest occupation by solitary wasps and bees (Hymenoptera: Aculeata) in a forest urban remanent.森林城市遗迹中独居黄蜂和蜜蜂(膜翅目:针尾部)对诱捕巢的占据情况
Neotrop Entomol. 2006 Jan-Feb;35(1):41-8. doi: 10.1590/s1519-566x2006000100006.

引用本文的文献

1
Bee Hotels as a Tool for Post-Fire Recovery of Cavity-Nesting Native Bees.蜂箱作为火灾后筑巢于洞穴的本土蜜蜂恢复的工具。
Insects. 2025 Jun 25;16(7):659. doi: 10.3390/insects16070659.
2
Mutual and Opposing Responses of Carabid Beetles and Predatory Wasps to Local and Landscape Factors in Vineyards.葡萄园中甲虫和捕食性黄蜂对局部和景观因素的相互对立反应
Insects. 2020 Oct 30;11(11):746. doi: 10.3390/insects11110746.
3
A Review of Sampling and Monitoring Methods for Beneficial Arthropods in Agroecosystems.农业生态系统中有益节肢动物的采样与监测方法综述

本文引用的文献

1
Trap-nesting bees and wasps colonizing set-aside fields: succession and body size, management by cutting and sowing.在预留田筑巢的蜜蜂和黄蜂:演替与体型大小,割除与播种管理
Oecologia. 1994 Jun;98(1):8-14. doi: 10.1007/BF00326084.
2
Native wildflower plantings support wild bee abundance and diversity in agricultural landscapes across the United States.本土野花种植有助于美国各地农业景观中野生蜜蜂数量的增加和多样性的提升。
Ecol Appl. 2015 Dec;25(8):2119-31. doi: 10.1890/14-1748.1.
3
Experimental evidence that wildflower strips increase pollinator visits to crops.
Insects. 2018 Nov 23;9(4):170. doi: 10.3390/insects9040170.
有实验证据表明,野花带能增加传粉者对农作物的访花次数。
Ecol Evol. 2015 Aug;5(16):3523-30. doi: 10.1002/ece3.1444. Epub 2015 Aug 1.
4
Global pollinator declines: trends, impacts and drivers.全球传粉媒介减少:趋势、影响和驱动因素。
Trends Ecol Evol. 2010 Jun;25(6):345-53. doi: 10.1016/j.tree.2010.01.007. Epub 2010 Feb 24.
5
How do landscape composition and configuration, organic farming and fallow strips affect the diversity of bees, wasps and their parasitoids?景观组成和配置、有机农业和休耕带如何影响蜜蜂、胡蜂及其寄生性天敌的多样性?
J Anim Ecol. 2010 Mar;79(2):491-500. doi: 10.1111/j.1365-2656.2009.01642.x. Epub 2009 Dec 8.
6
Biological control with Trichogramma: advances, successes, and potential of their use.用赤眼蜂进行生物防治:进展、成效及其应用潜力
Annu Rev Entomol. 1996;41:375-406. doi: 10.1146/annurev.en.41.010196.002111.
7
Developing and establishing bee species as crop pollinators: the example of Osmia spp. (Hymenoptera: Megachilidae) and fruit trees.将蜜蜂物种开发并确立为作物传粉者:以壁蜂属(膜翅目:切叶蜂科)和果树为例。
Bull Entomol Res. 2002 Feb;92(1):3-16. doi: 10.1079/BER2001139.