Suppr超能文献

树苗生长速率揭示了温带森林中同种个体间的负密度依赖关系。

Sapling growth rates reveal conspecific negative density dependence in a temperate forest.

作者信息

Ramage Benjamin S, Johnson Daniel J, Gonzalez-Akre Erika, McShea William J, Anderson-Teixeira Kristina J, Bourg Norman A, Clay Keith

机构信息

Biology Department Randolph-Macon College Ashland VA USA.

Earth and Environmental Sciences Division Los Alamos National Laboratory Los Alamos NM USA.

出版信息

Ecol Evol. 2017 Aug 18;7(19):7661-7671. doi: 10.1002/ece3.3298. eCollection 2017 Oct.

Abstract

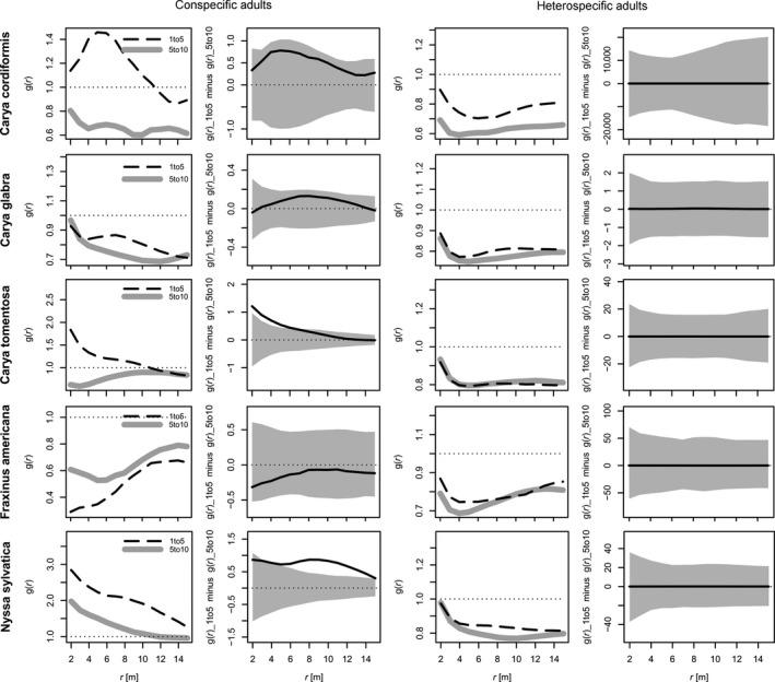
Local tree species diversity is maintained in part by conspecific negative density dependence (CNDD). This pervasive mechanism occurs in a variety of forms and ecosystems, but research to date has been heavily skewed toward tree seedling survival in tropical forests. To evaluate CNDD more broadly, we investigated how sapling growth rates were affected by conspecific adult neighbors in a fully mapped 25.6 ha temperate deciduous forest. We examined growth rates as a function of the local adult tree neighborhood (via spatial autoregressive modeling) and compared the spatial positioning of faster-growing and slower-growing saplings with respect to adult conspecific and heterospecific trees (via bivariate point pattern analysis). In addition, to determine whether CNDD-driven variation in growth rates leaves a corresponding spatial signal, we extended our point pattern analysis to a static, growth-independent comparison of saplings and the next larger size class. We found that negative conspecific effects on sapling growth were most prevalent. Five of the nine species that were sufficiently abundant for analysis exhibited CNDD, while only one species showed evidence of a positive conspecific effect, and one or two species, depending on the analysis, displayed heterospecific effects. There was general agreement between the autoregressive models and the point pattern analyses based on sapling growth rates, but point pattern analyses based on single-point-in-time size classes yielded results that differed markedly from the other two approaches. Our work adds to the growing body of evidence that CNDD is an important force in temperate forests, and demonstrates that this process extends to sapling growth rates. Further, our findings indicate that point pattern analyses based solely on size classes may fail to detect the process of interest (e.g., neighborhood-driven variation in growth rates), in part due to the confounding of tree size and age.

摘要

局部树种多样性部分是由同种负密度依赖(CNDD)维持的。这种普遍存在的机制以多种形式出现在各种生态系统中,但迄今为止的研究严重偏向于热带森林中树木幼苗的存活情况。为了更广泛地评估CNDD,我们在一片完全测绘的25.6公顷温带落叶林中,研究了同种成年邻居对幼树生长速率的影响。我们通过空间自回归模型将生长速率作为当地成年树木邻域的函数进行研究,并通过双变量点模式分析,比较了生长较快和较慢的幼树相对于成年同种和异种树木的空间定位。此外,为了确定CNDD驱动的生长速率变化是否留下相应的空间信号,我们将点模式分析扩展到对幼树和下一个更大尺寸等级进行静态的、与生长无关的比较。我们发现,同种对幼树生长的负面影响最为普遍。在分析中足够丰富的九个物种中有五个表现出CNDD,而只有一个物种显示出同种正效应的证据,还有一两个物种(取决于分析方法)表现出异种效应。基于幼树生长速率的自回归模型和点模式分析之间总体上是一致的,但基于单一时间点尺寸等级的点模式分析得出的结果与其他两种方法明显不同。我们的工作增加了越来越多的证据,表明CNDD是温带森林中的一种重要力量,并证明这一过程延伸到了幼树的生长速率。此外,我们的研究结果表明,仅基于尺寸等级的点模式分析可能无法检测到感兴趣的过程(例如,邻域驱动的生长速率变化),部分原因是树木大小和年龄的混淆。

https://cdn.ncbi.nlm.nih.gov/pmc/blobs/711c/5632615/102796bcfec2/ECE3-7-7661-g001.jpg

文献AI研究员

20分钟写一篇综述,助力文献阅读效率提升50倍。

立即体验

用中文搜PubMed

大模型驱动的PubMed中文搜索引擎

马上搜索

文档翻译

学术文献翻译模型,支持多种主流文档格式。

立即体验