Suppr超能文献

量化编辑与作者关系对稿件处理时间的影响。

Quantifying the effect of editor-author relations on manuscript handling times.

作者信息

Sarigöl Emre, Garcia David, Scholtes Ingo, Schweitzer Frank

机构信息

Chair of Systems Design, ETH Zürich, Weinbergstrasse 56/58, CH-8092 Zürich, Switzerland.

出版信息

Scientometrics. 2017;113(1):609-631. doi: 10.1007/s11192-017-2309-y. Epub 2017 Mar 3.

Abstract

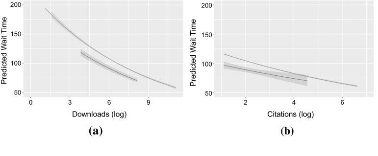
In this article we study to what extent the academic peer review process is influenced by social relations between the authors of a manuscript and the editor handling the manuscript. Taking the open access journal PlosOne as a case study, our analysis is based on a data set of more than 100,000 articles published between 2007 and 2015. Using available data on handling editor, submission and acceptance time of manuscripts, we study the question whether co-authorship relations between authors and the handling editor affect the , i.e. the time taken between the submission and acceptance of a manuscript. Our analysis reveals (1) that editors handle papers co-authored by previous collaborators significantly more often than expected at random, and (2) that such prior co-author relations are significantly related to faster manuscript handling. Addressing the question whether these shorter manuscript handling times can be explained by the quality of publications, we study the number of citations and downloads which accepted papers eventually accumulate. Moreover, we consider the influence of additional (social) factors, such as the editor's experience, the topical similarity between authors and editors, as well as reciprocal citation relations between authors and editors. Our findings show that, even when correcting for other factors like time, experience, and performance, prior co-authorship relations have a large and significant influence on manuscript handling times, speeding up the editorial decision on average by 19 days.

摘要

在本文中,我们研究了学术同行评审过程在多大程度上受到稿件作者与处理该稿件的编辑之间社会关系的影响。以开放获取期刊《公共科学图书馆·综合》(PlosOne)为案例研究,我们的分析基于2007年至2015年间发表的100,000多篇文章的数据集。利用有关处理编辑、稿件提交和接受时间的现有数据,我们研究了作者与处理编辑之间的共同作者关系是否会影响稿件处理时间,即稿件从提交到接受所花费的时间这一问题。我们的分析表明:(1)编辑处理由先前合作者共同撰写的论文的频率明显高于随机预期;(2)这种先前的共同作者关系与更快的稿件处理显著相关。在探讨这些较短的稿件处理时间是否可以通过出版物质量来解释这一问题时,我们研究了被接受论文最终积累的引用次数和下载次数。此外,我们还考虑了其他(社会)因素的影响,例如编辑的经验、作者与编辑之间的主题相似性,以及作者与编辑之间的相互引用关系。我们的研究结果表明,即使校正了时间、经验和表现等其他因素,先前的共同作者关系对手稿处理时间仍有很大且显著的影响,平均加快编辑决策19天。

https://cdn.ncbi.nlm.nih.gov/pmc/blobs/5c80/5629258/24247246e8e0/11192_2017_2309_Fig1_HTML.jpg

文献AI研究员

20分钟写一篇综述,助力文献阅读效率提升50倍。

立即体验

用中文搜PubMed

大模型驱动的PubMed中文搜索引擎

马上搜索

文档翻译

学术文献翻译模型,支持多种主流文档格式。

立即体验