Suppr超能文献

Ga-DOTA-(D-天冬氨酸)作为骨显像剂的评估:D-天冬氨酸肽作为骨靶向载体

Evaluation of Ga-DOTA-(D-Asp) as bone imaging agents: D-aspartic acid peptides as carriers to bone.

作者信息

Ogawa Kazuma, Ishizaki Atsushi, Takai Kenichiro, Kitamura Yoji, Makino Akira, Kozaka Takashi, Kiyono Yasushi, Shiba Kazuhiro, Odani Akira

机构信息

Graduate School of Medical Sciences, Kanazawa University, Kanazawa, Japan.

Institute for Frontier Science Initiative, Kanazawa University, Kanazawa, Japan.

出版信息

Sci Rep. 2017 Oct 25;7(1):13971. doi: 10.1038/s41598-017-14149-7.

Abstract

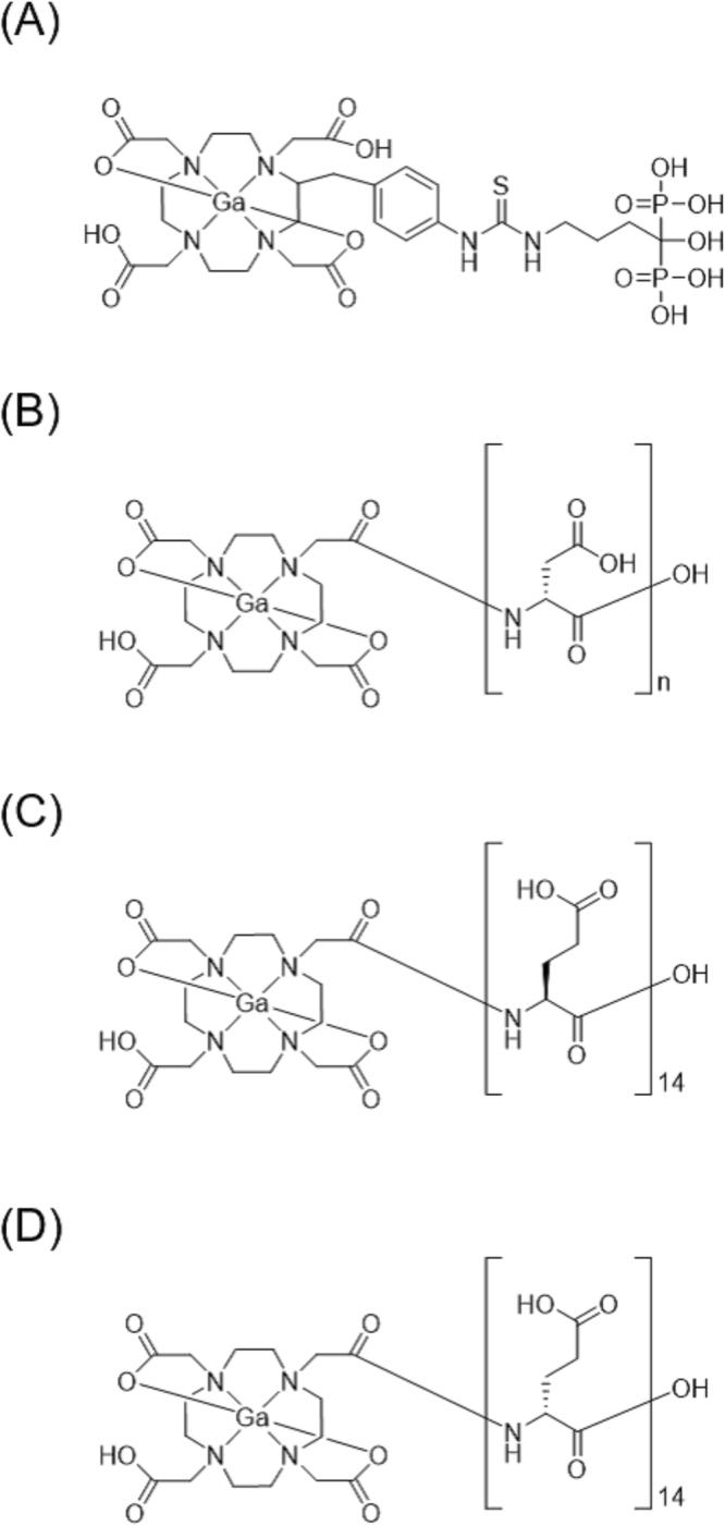
Ga-DOTA-(L-Asp) and Ga-DOTA-(L-Asp), which have been developed as bone imaging agents, showed a high accumulation in bone and a rapid blood clearance in mice. However, peptides composed of D-amino acids are more stable in vivo than those composed of their L-equivalents. In this study, Ga-DOTA-(D-Asp) (n = 2, 5, 8, 11, or 14) were synthesized using the Fmoc-based solid-phase methodology and evaluated. In hydroxyapatite binding assay, binding of Ga-DOTA-(D-Asp) tended to increase with increasing length of the amino acid chain. Ga-DOTA-(D-Asp) and Ga-DOTA-(D-Asp) caused a high accumulation of radioactivity in the bones of the mice. However, the results for Ga-DOTA-(D-Asp) and Ga-DOTA-(L-Asp) were comparable. In urine analyses, the proportion of intact complex after injection of Ga-DOTA-(D-Asp) was significantly higher than that of Ga-DOTA-(L-Asp). Although Ga-DOTA-(D-Asp) was more stable than Ga-DOTA-(L-Asp), the properties of Ga-DOTA-(D-Asp) and Ga-DOTA-(L-Asp) as bone imaging agents may be comparable.

摘要

已被开发用作骨显像剂的Ga-DOTA-(L-Asp)和Ga-DOTA-(L-Asp)在小鼠体内显示出在骨中的高蓄积和快速的血液清除。然而,由D-氨基酸组成的肽在体内比由其L-对应物组成的肽更稳定。在本研究中,使用基于Fmoc的固相方法合成并评估了Ga-DOTA-(D-Asp)(n = 2、5、8、11或14)。在羟基磷灰石结合试验中,Ga-DOTA-(D-Asp)的结合倾向于随着氨基酸链长度的增加而增加。Ga-DOTA-(D-Asp)和Ga-DOTA-(D-Asp)在小鼠骨骼中引起了放射性的高蓄积。然而,Ga-DOTA-(D-Asp)和Ga-DOTA-(L-Asp)的结果相当。在尿液分析中,注射Ga-DOTA-(D-Asp)后完整复合物的比例明显高于Ga-DOTA-(L-Asp)。尽管Ga-DOTA-(D-Asp)比Ga-DOTA-(L-Asp)更稳定,但Ga-DOTA-(D-Asp)和Ga-DOTA-(L-Asp)作为骨显像剂的特性可能相当。

https://cdn.ncbi.nlm.nih.gov/pmc/blobs/04dc/5656653/3cb8e62b5f5d/41598_2017_14149_Fig1_HTML.jpg

文献检索

告别复杂PubMed语法,用中文像聊天一样搜索,搜遍4000万医学文献。AI智能推荐,让科研检索更轻松。

立即免费搜索

文件翻译

保留排版,准确专业,支持PDF/Word/PPT等文件格式,支持 12+语言互译。

免费翻译文档

深度研究

AI帮你快速写综述,25分钟生成高质量综述,智能提取关键信息,辅助科研写作。

立即免费体验