• 文献检索
  • 文档翻译
  • 深度研究
  • 学术资讯
  • Suppr Zotero 插件Zotero 插件
  • 邀请有礼
  • 套餐&价格
  • 历史记录
应用&插件
Suppr Zotero 插件Zotero 插件浏览器插件Mac 客户端Windows 客户端微信小程序
定价
高级版会员购买积分包购买API积分包
服务
文献检索文档翻译深度研究API 文档MCP 服务
关于我们
关于 Suppr公司介绍联系我们用户协议隐私条款
关注我们

Suppr 超能文献

核心技术专利:CN118964589B侵权必究
粤ICP备2023148730 号-1Suppr @ 2026

文献检索

告别复杂PubMed语法,用中文像聊天一样搜索,搜遍4000万医学文献。AI智能推荐,让科研检索更轻松。

立即免费搜索

文件翻译

保留排版,准确专业,支持PDF/Word/PPT等文件格式,支持 12+语言互译。

免费翻译文档

深度研究

AI帮你快速写综述,25分钟生成高质量综述,智能提取关键信息,辅助科研写作。

立即免费体验

新型噻唑烷二酮类药物罗格列酮对2型糖尿病患者骨密度的52周影响

Effects of Lobeglitazone, a Novel Thiazolidinedione, on Bone Mineral Density in Patients with Type 2 Diabetes Mellitus over 52 Weeks.

作者信息

Lim Soo, Kim Kyoung Min, Kim Sin Gon, Kim Doo Man, Woo Jeong Taek, Chung Choon Hee, Ko Kyung Soo, Park Jeong Hyun, Park Yongsoo, Kim Sang Jin, Jang Hak Chul, Choi Dong Seop

机构信息

Department of Internal Medicine, Seoul National University Bundang Hospital, Seoul National University College of Medicine, Seongnam, Korea.

Department of Internal Medicine, Korea University Anam Hospital, Korea University College of Medicine, Seoul, Korea.

出版信息

Diabetes Metab J. 2017 Oct;41(5):377-385. doi: 10.4093/dmj.2017.41.5.377.

DOI:10.4093/dmj.2017.41.5.377
PMID:29086536
原文链接:https://pmc.ncbi.nlm.nih.gov/articles/PMC5663677/
Abstract

BACKGROUND

The aim of this multicenter, randomized, double-blind study was to examine the effect of lobeglitazone, a novel thiazolidinedione, on the changes in bone mineral density (BMD) in patients with type 2 diabetes mellitus.

METHODS

A 24-week, double-blinded phase was followed by a 28-week, open-label phase, in which the placebo group also started to receive lobeglitazone. A total of 170 patients aged 34 to 76 years were randomly assigned in a 2:1 ratio to receive lobeglitazone 0.5 mg or a matching placebo orally, once daily. BMD was assessed using dual-energy X-ray absorptiometry at week 24 and at the end of the study (week 52).

RESULTS

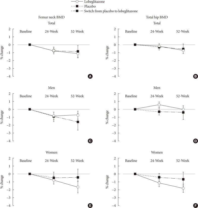
During the double-blinded phase, the femur neck BMD showed decreasing patterns in both groups, without statistical significance (-0.85%±0.36% and -0.78%±0.46% in the lobeglitazone and placebo groups, respectively). The treatment difference between the groups was 0.07%, which was also not statistically significant. Further, minimal, nonsignificant decreases were observed in both groups in the total hip BMD compared to values at baseline, and these differences also did not significantly differ between the groups. During the open-label phase, the BMD was further decreased, but not significantly, by -0.32% at the femur neck and by -0.60% at the total hip in the lobeglitazone group, and these changes did not significantly differ compared with the original placebo group switched to lobeglitazone.

CONCLUSION

Our results indicate that treatment with lobeglitazone 0.5 mg over 52 weeks showed no detrimental effect on the BMD compared to the placebo.

摘要

背景

这项多中心、随机、双盲研究的目的是检验新型噻唑烷二酮类药物罗格列酮对2型糖尿病患者骨密度(BMD)变化的影响。

方法

先进行为期24周的双盲阶段,随后是为期28周的开放标签阶段,在此阶段安慰剂组也开始接受罗格列酮治疗。总共170名年龄在34至76岁之间的患者按2:1的比例随机分配,口服0.5毫克罗格列酮或匹配的安慰剂,每日一次。在第24周和研究结束时(第52周)使用双能X线吸收法评估骨密度。

结果

在双盲阶段,两组的股骨颈骨密度均呈下降趋势,但无统计学意义(罗格列酮组和安慰剂组分别为-0.85%±0.36%和-0.78%±0.46%)。两组之间的治疗差异为0.07%,也无统计学意义。此外,与基线值相比,两组全髋骨密度均有轻微、无统计学意义的下降,且两组之间的这些差异也无显著差异。在开放标签阶段,罗格列酮组的股骨颈骨密度进一步下降,但不显著,下降了-0.32%,全髋骨密度下降了-0.60%,与改为接受罗格列酮治疗的原安慰剂组相比,这些变化无显著差异。

结论

我们的结果表明,与安慰剂相比,52周内服用0.5毫克罗格列酮对骨密度没有不利影响。

https://cdn.ncbi.nlm.nih.gov/pmc/blobs/4ea0/5663677/016edc0e6a79/dmj-41-377-g003.jpg
https://cdn.ncbi.nlm.nih.gov/pmc/blobs/4ea0/5663677/4acd7010a8ad/dmj-41-377-g001.jpg
https://cdn.ncbi.nlm.nih.gov/pmc/blobs/4ea0/5663677/9a390b2ee807/dmj-41-377-g002.jpg
https://cdn.ncbi.nlm.nih.gov/pmc/blobs/4ea0/5663677/016edc0e6a79/dmj-41-377-g003.jpg
https://cdn.ncbi.nlm.nih.gov/pmc/blobs/4ea0/5663677/4acd7010a8ad/dmj-41-377-g001.jpg
https://cdn.ncbi.nlm.nih.gov/pmc/blobs/4ea0/5663677/9a390b2ee807/dmj-41-377-g002.jpg
https://cdn.ncbi.nlm.nih.gov/pmc/blobs/4ea0/5663677/016edc0e6a79/dmj-41-377-g003.jpg

相似文献

1
Effects of Lobeglitazone, a Novel Thiazolidinedione, on Bone Mineral Density in Patients with Type 2 Diabetes Mellitus over 52 Weeks.新型噻唑烷二酮类药物罗格列酮对2型糖尿病患者骨密度的52周影响
Diabetes Metab J. 2017 Oct;41(5):377-385. doi: 10.4093/dmj.2017.41.5.377.
2
Efficacy and safety of lobeglitazone monotherapy in patients with type 2 diabetes mellitus over 24-weeks: a multicenter, randomized, double-blind, parallel-group, placebo controlled trial.罗格列酮单药治疗2型糖尿病患者24周的疗效与安全性:一项多中心、随机、双盲、平行组、安慰剂对照试验
PLoS One. 2014 Apr 15;9(4):e92843. doi: 10.1371/journal.pone.0092843. eCollection 2014.
3
Effects of Lobeglitazone, a New Thiazolidinedione, on Osteoblastogenesis and Bone Mineral Density in Mice.新型噻唑烷二酮类药物罗格列酮对小鼠成骨细胞生成及骨矿物质密度的影响
Endocrinol Metab (Seoul). 2017 Sep;32(3):389-395. doi: 10.3803/EnM.2017.32.3.389.
4
Rosiglitazone decreases bone mineral density and increases bone turnover in postmenopausal women with type 2 diabetes mellitus.罗格列酮可降低 2 型糖尿病绝经后妇女的骨密度并增加骨转换。
J Clin Endocrinol Metab. 2013 Apr;98(4):1519-28. doi: 10.1210/jc.2012-4018. Epub 2013 Feb 28.
5
The effect of metformin versus placebo in combination with insulin analogues on bone mineral density and trabecular bone score in patients with type 2 diabetes mellitus: a randomized placebo-controlled trial.二甲双胍联合胰岛素类似物与安慰剂对 2 型糖尿病患者骨密度和骨小梁评分的影响:一项随机安慰剂对照试验。
Osteoporos Int. 2018 Nov;29(11):2517-2526. doi: 10.1007/s00198-018-4637-z. Epub 2018 Jul 19.
6
Lobeglitazone and Its Therapeutic Benefits: A Review.罗格列酮及其治疗益处:综述
Cureus. 2023 Dec 6;15(12):e50085. doi: 10.7759/cureus.50085. eCollection 2023 Dec.
7
Lobeglitazone, a Novel Thiazolidinedione, Improves Non-Alcoholic Fatty Liver Disease in Type 2 Diabetes: Its Efficacy and Predictive Factors Related to Responsiveness.新型噻唑烷二酮类药物罗格列酮改善2型糖尿病患者的非酒精性脂肪性肝病:疗效及反应性相关预测因素
J Korean Med Sci. 2017 Jan;32(1):60-69. doi: 10.3346/jkms.2017.32.1.60.
8
Efficacy and safety of novel thiazolidinedione lobeglitazone for managing type-2 diabetes a meta-analysis.新型噻唑烷二酮类药物洛格列酮治疗2型糖尿病的疗效与安全性:一项荟萃分析
Diabetes Metab Syndr. 2023 Jan;17(1):102697. doi: 10.1016/j.dsx.2022.102697. Epub 2022 Dec 23.
9
A double-blind, Randomized controlled trial on glucose-lowering EFfects and safety of adding 0.25 or 0.5 mg lobeglitazone in type 2 diabetes patients with INadequate control on metformin and dipeptidyl peptidase-4 inhibitor therapy: REFIND study.一项关于在二甲双胍和二肽基肽酶-4 抑制剂治疗控制不佳的 2 型糖尿病患者中添加 0.25 或 0.5mg 罗格列酮对降低血糖的 EFfects 和安全性的双盲、随机对照试验:REFIND 研究。
Diabetes Obes Metab. 2022 Sep;24(9):1800-1809. doi: 10.1111/dom.14766. Epub 2022 Jun 9.
10
Lobeglitazone and pioglitazone as add-ons to metformin for patients with type 2 diabetes: a 24-week, multicentre, randomized, double-blind, parallel-group, active-controlled, phase III clinical trial with a 28-week extension.洛格列酮和吡格列酮作为二甲双胍的附加治疗用于2型糖尿病患者:一项为期24周的多中心、随机、双盲、平行组、活性药物对照的III期临床试验,并延长28周。
Diabetes Obes Metab. 2015 Jun;17(6):599-602. doi: 10.1111/dom.12435. Epub 2015 Feb 8.

引用本文的文献

1
Early Prediction Model for Osteoporotic Fracture in Type 2 Diabetes Patients: A Nomogram Approach Based on a Single-Center Retrospective Study.2型糖尿病患者骨质疏松性骨折的早期预测模型:基于单中心回顾性研究的列线图方法
Diabetes Metab Syndr Obes. 2025 Sep 11;18:3447-3464. doi: 10.2147/DMSO.S475409. eCollection 2025.
2
Enhancing Diabetes Treatment: Comparing Pioglitazone/Metformin with Dapagliflozin Versus Basal Insulin/Metformin in Type 2 Diabetes.强化糖尿病治疗:比较吡格列酮/二甲双胍与达格列净以及基础胰岛素/二甲双胍治疗2型糖尿病的效果
Drug Des Devel Ther. 2025 Mar 12;19:1795-1808. doi: 10.2147/DDDT.S512872. eCollection 2025.
3

本文引用的文献

1
Type 2 diabetes mellitus and bone fragility: Special focus on bone imaging.2型糖尿病与骨脆性:特别关注骨成像
Osteoporos Sarcopenia. 2016 Mar;2(1):20-24. doi: 10.1016/j.afos.2016.02.001. Epub 2016 Mar 3.
2
Lobeglitazone, a Novel Peroxisome Proliferator-Activated Receptor γ Agonist, Attenuates Renal Fibrosis Caused by Unilateral Ureteral Obstruction in Mice.洛格列酮,一种新型过氧化物酶体增殖物激活受体γ激动剂,减轻小鼠单侧输尿管梗阻所致的肾纤维化。
Endocrinol Metab (Seoul). 2017 Mar;32(1):115-123. doi: 10.3803/EnM.2017.32.1.115. Epub 2017 Feb 28.
3
Epidemiology of Fractures in Diabetes.
The Many Facets of PPAR-γ Agonism in Obesity and Associated Comorbidities: Benefits, Risks, Challenges, and Future Directions.
过氧化物酶体增殖物激活受体γ激动剂在肥胖及相关合并症中的多方面作用:益处、风险、挑战及未来方向
Curr Obes Rep. 2025 Feb 12;14(1):19. doi: 10.1007/s13679-025-00612-4.
4
Lobeglitazone and Its Therapeutic Benefits: A Review.罗格列酮及其治疗益处:综述
Cureus. 2023 Dec 6;15(12):e50085. doi: 10.7759/cureus.50085. eCollection 2023 Dec.
5
Bone Mineral Density Evaluation Among Type 2 Diabetic Patients in Rural Haryana, India: An Analytical Cross-Sectional Study.印度哈里亚纳邦农村地区2型糖尿病患者的骨密度评估:一项分析性横断面研究
Cureus. 2023 Sep 25;15(9):e45908. doi: 10.7759/cureus.45908. eCollection 2023 Sep.
6
The benefits of adipocyte metabolism in bone health and regeneration.脂肪细胞代谢在骨骼健康与再生中的益处。
Front Cell Dev Biol. 2023 Feb 21;11:1104709. doi: 10.3389/fcell.2023.1104709. eCollection 2023.
7
A double-blind, Randomized controlled trial on glucose-lowering EFfects and safety of adding 0.25 or 0.5 mg lobeglitazone in type 2 diabetes patients with INadequate control on metformin and dipeptidyl peptidase-4 inhibitor therapy: REFIND study.一项关于在二甲双胍和二肽基肽酶-4 抑制剂治疗控制不佳的 2 型糖尿病患者中添加 0.25 或 0.5mg 罗格列酮对降低血糖的 EFfects 和安全性的双盲、随机对照试验:REFIND 研究。
Diabetes Obes Metab. 2022 Sep;24(9):1800-1809. doi: 10.1111/dom.14766. Epub 2022 Jun 9.
8
A Real-World Study of Long-Term Safety and Efficacy of Lobeglitazone in Korean Patients with Type 2 Diabetes Mellitus.一项在韩国 2 型糖尿病患者中进行的洛格列酮长期安全性和疗效的真实世界研究。
Diabetes Metab J. 2022 Nov;46(6):855-865. doi: 10.4093/dmj.2021.0264. Epub 2022 Mar 8.
9
Lobeglitazone: A Novel Thiazolidinedione for the Management of Type 2 Diabetes Mellitus.罗格列酮:一种新型噻唑烷二酮类药物,用于治疗 2 型糖尿病。
Diabetes Metab J. 2021 May;45(3):326-336. doi: 10.4093/dmj.2020.0272. Epub 2021 Apr 19.
10
Use of in vitro bone models to screen for altered bone metabolism, osteopathies, and fracture healing: challenges of complex models.利用体外骨模型筛选骨代谢改变、骨病和骨折愈合:复杂模型的挑战。
Arch Toxicol. 2020 Dec;94(12):3937-3958. doi: 10.1007/s00204-020-02906-z. Epub 2020 Sep 10.
糖尿病骨折的流行病学。
Calcif Tissue Int. 2017 Feb;100(2):109-121. doi: 10.1007/s00223-016-0175-x. Epub 2016 Jul 21.
4
Trends in Diabetes Incidence in the Last Decade Based on Korean National Health Insurance Claims Data.基于韩国国家健康保险索赔数据的过去十年间糖尿病发病率趋势。
Endocrinol Metab (Seoul). 2016 Jun;31(2):292-9. doi: 10.3803/EnM.2016.31.2.292. Epub 2016 Jun 10.
5
Pioglitazone after Ischemic Stroke or Transient Ischemic Attack.缺血性中风或短暂性脑缺血发作后的吡格列酮
N Engl J Med. 2016 Apr 7;374(14):1321-31. doi: 10.1056/NEJMoa1506930. Epub 2016 Feb 17.
6
Pioglitazone, a PPARγ agonist, attenuates PDGF-induced vascular smooth muscle cell proliferation through AMPK-dependent and AMPK-independent inhibition of mTOR/p70S6K and ERK signaling.吡格列酮,一种PPARγ激动剂,通过对mTOR/p70S6K和ERK信号通路的AMPK依赖性及非依赖性抑制,减弱血小板衍生生长因子诱导的血管平滑肌细胞增殖。
Biochem Pharmacol. 2016 Feb 1;101:54-70. doi: 10.1016/j.bcp.2015.11.026. Epub 2015 Nov 28.
7
Peroxisome proliferator-activated receptor gamma agonists for preventing recurrent stroke and other vascular events in patients with stroke or transient ischaemic attack.过氧化物酶体增殖物激活受体γ激动剂用于预防中风或短暂性脑缺血发作患者的复发性中风和其他血管事件。
Cochrane Database Syst Rev. 2015 Oct 29(10):CD010693. doi: 10.1002/14651858.CD010693.pub3.
8
Safety and efficacy of lobeglitazone monotherapy in patients with type 2 diabetes mellitus over 52 weeks: An open-label extension study.在 52 周内,罗格列酮单药治疗 2 型糖尿病患者的安全性和有效性:一项开放标签扩展研究。
Diabetes Res Clin Pract. 2015 Dec;110(3):e27-30. doi: 10.1016/j.diabres.2015.09.009. Epub 2015 Sep 21.
9
Effect of exenatide, insulin and pioglitazone on bone metabolism in patients with newly diagnosed type 2 diabetes.艾塞那肽、胰岛素和吡格列酮对新诊断2型糖尿病患者骨代谢的影响。
Acta Diabetol. 2015 Dec;52(6):1083-91. doi: 10.1007/s00592-015-0792-2. Epub 2015 Aug 7.
10
The effect of thiazolidinediones on bone mineral density and bone turnover: systematic review and meta-analysis.噻唑烷二酮类药物对骨密度和骨转换的影响:系统评价与荟萃分析。
Diabetologia. 2015 Oct;58(10):2238-46. doi: 10.1007/s00125-015-3660-2. Epub 2015 Jun 25.