Suppr超能文献

放射性肺炎发生的预测参数分析

Analysis of predictive parameters for the development of radiation-induced pneumonitis.

作者信息

Yamagishi Toru, Kodaka Norio, Kurose Yoshiyuki, Watanabe Kayo, Nakano Chihiro, Kishimoto Kumiko, Oshio Takeshi, Niitsuma Kumiko, Matsuse Hiroto

机构信息

Department of Internal Medicine, Division of Respiratory Medicine, Toho University Ohashi Medical Center, Tokyo, Japan.

出版信息

Ann Thorac Med. 2017 Oct-Dec;12(4):252-258. doi: 10.4103/atm.ATM_355_16.

Abstract

INTRODUCTION

Prevention and effective treatment of radiation-induced pneumonitis (RP) could facilitate greater use of radiation therapy (RT) for lung cancer. The purpose of this study was to determine clinical parameters useful for early prediction of RP.

METHODS

Blood sampling, pulmonary function testing, chest computed tomography, and bronchoalveolar lavage (BAL) were performed in patients with pathologically confirmed lung cancer who had completed ≥60 Gy of RT, at baseline, shortly after RT, and at 1 month posttreatment.

RESULTS

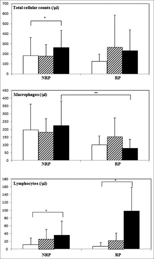
By 3 months post-RT, 11 patients developed RP (RP group) and the remaining 11 patients did not (NRP group). RT significantly increased total cell counts and alveolar macrophages in BAL of the NRP group, whereas lymphocyte count was increased in both groups. Matrix metallopeptidase-9 (MMP-9) increased and vascular endothelial growth factor decreased significantly in the BAL fluid (BALF) of the RP group following RT. Serum surfactant protein D (SP-D) increased significantly in the NRP group. SP-D in BALF from the RP group increased significantly with a subsequent increase in serum SP-D. Pulmonary dilution decreased similarly in both groups of patients.

CONCLUSIONS

Increased SP-D in BALF, rather than that in serum, could be useful biomarkers in predicting RP. The MMP-9 in BALF might play a role in the pathogenesis of RP. Pulmonary dilution test may not be predictive of the development of RP.

摘要

引言

预防和有效治疗放射性肺炎(RP)有助于扩大放射治疗(RT)在肺癌治疗中的应用。本研究的目的是确定有助于早期预测RP的临床参数。

方法

对病理确诊为肺癌且已完成≥60 Gy放疗的患者,在基线、放疗后不久及治疗后1个月进行血液采样、肺功能测试、胸部计算机断层扫描和支气管肺泡灌洗(BAL)。

结果

放疗后3个月时,11例患者发生RP(RP组),其余11例患者未发生(NRP组)。放疗显著增加了NRP组BAL中的总细胞计数和肺泡巨噬细胞,而两组的淋巴细胞计数均增加。放疗后,RP组BAL液(BALF)中的基质金属蛋白酶-9(MMP-9)增加,血管内皮生长因子显著降低。NRP组血清表面活性蛋白D(SP-D)显著增加。RP组BALF中的SP-D显著增加,随后血清SP-D也增加。两组患者的肺稀释度下降情况相似。

结论

BALF中而非血清中SP-D的增加可能是预测RP的有用生物标志物。BALF中的MMP-9可能在RP的发病机制中起作用。肺稀释试验可能无法预测RP的发生。

https://cdn.ncbi.nlm.nih.gov/pmc/blobs/9042/5656943/9f166965c1c7/ATM-12-252-g002.jpg

文献AI研究员

20分钟写一篇综述,助力文献阅读效率提升50倍。

立即体验

用中文搜PubMed

大模型驱动的PubMed中文搜索引擎

马上搜索

文档翻译

学术文献翻译模型,支持多种主流文档格式。

立即体验