Suppr超能文献

新型含交联透明质酸的人工泪液:一项体外再上皮化研究。

Novel Artificial Tears Containing Cross-Linked Hyaluronic Acid: An In Vitro Re-Epithelialization Study.

机构信息

Department of Life Sciences and Biotechnology, Master Course in Cosmetic Science and Technology (COSMAST), University of Ferrara, Via L. Borsari 46, 44121 Ferrara, Italy.

Ophthalmology Unit, Azienda ULSS n.22, 37012 Bussolengo, Italy.

出版信息

Molecules. 2017 Nov 30;22(12):2104. doi: 10.3390/molecules22122104.

Abstract

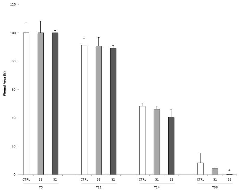
Dry eye syndrome is a common disease which can damage the corneal epithelium. It is treated with eye drops to stimulate tear production and hydrate the corneal surface. The most prescribed artificial tear remedies contain hyaluronic acid (HA), which enhances epithelial wound healing, improving tissue health. To the best of our knowledge, only a few recent studies have investigated cross-linked HA (HA-CL) in eye drops for human applications. This work consists in an in vitro evaluation of the re-epithelialization ability of two different preparations containing a recently synthetized HA cross-linked with urea: 0.02% (/) HA-CL (solution 1, S1), and 0.4% (/) HA-CL (solution 2, S2). The study was conducted on both 2D human corneal cells (HCEpiC) and 3D reconstructed tissues of human corneal epithelium (HCE). Viability by 3(4,5-dimethylthiazol-2)2,5-diphenyltetrazolium bromide (MTT) test, pro-inflammatory cytokine release (interleukin-8, IL-8) by ELISA, and morphology by hematoxylin and eosin (HE) staining were evaluated. In addition, to understand the molecular basis of the re-epithelialization properties, cyclin D1 levels were assessed by western blot. The results showed no cellular toxicity, a slight decrease in IL-8 release, and restoration of epithelium integrity when the wounded 3D model was treated with S1 and S2. In parallel, cyclin D1 levels increased in cells treated with both S1 and S2.

摘要

干眼症是一种常见疾病,可损害角膜上皮。它的治疗方法是滴眼药水来刺激泪液分泌并滋润角膜表面。最常开的人工泪液补救措施含有透明质酸(HA),它可以增强上皮伤口愈合,改善组织健康。据我们所知,只有少数最近的研究调查了用于人类应用的交联透明质酸(HA-CL)滴眼剂。这项工作包括对两种含有最近合成的与尿素交联的透明质酸的不同制剂的再上皮化能力进行体外评估:0.02%(/)HA-CL(溶液 1,S1)和 0.4%(/)HA-CL(溶液 2,S2)。该研究在二维人角膜细胞(HCEpiC)和三维重建的人角膜上皮组织(HCE)上进行。通过 3(4,5-二甲基噻唑-2)2,5-二苯基四唑溴盐(MTT)试验评估细胞活力,通过酶联免疫吸附试验(ELISA)评估促炎细胞因子释放(白细胞介素-8,IL-8),通过苏木精和伊红(HE)染色评估形态。此外,为了了解再上皮化特性的分子基础,通过蛋白质印迹评估细胞周期蛋白 D1 水平。结果表明,当处理 3D 模型的伤口时,S1 和 S2 没有细胞毒性,IL-8 释放略有减少,并且上皮完整性得到恢复。同时,用 S1 和 S2 处理的细胞中 cyclin D1 水平增加。

https://cdn.ncbi.nlm.nih.gov/pmc/blobs/6c8c/6149675/047573e60fad/molecules-22-02104-sch001.jpg

文献检索

告别复杂PubMed语法,用中文像聊天一样搜索,搜遍4000万医学文献。AI智能推荐,让科研检索更轻松。

立即免费搜索

文件翻译

保留排版,准确专业,支持PDF/Word/PPT等文件格式,支持 12+语言互译。

免费翻译文档

深度研究

AI帮你快速写综述,25分钟生成高质量综述,智能提取关键信息,辅助科研写作。

立即免费体验