School of Environment and Energy, South China University of Technology, 382 Waihuan East Road, Guangzhou 510006, China.
The Key Lab of Pollution Control and Ecosystem Restoration in Industry Clusters, Ministry of Education, 382 Waihuan East Road, Guangzhou 510006, China.
Int J Environ Res Public Health. 2017 Dec 12;14(12):1557. doi: 10.3390/ijerph14121557.
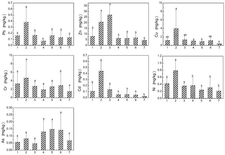
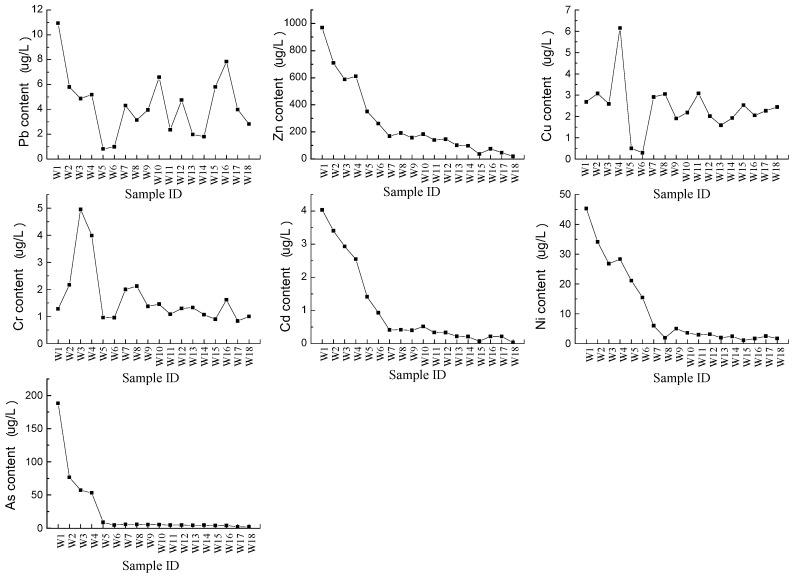
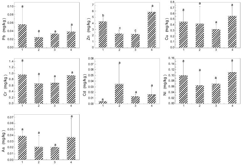
The purpose of this study was to assess heavy metal contamination and health risks for residents in the vicinity of a tailing pond in Guangdong, southern China. Water, soil, rice, and vegetable samples were collected from the area in the vicinity of the tailing pond. Results showed that surface water was just polluted by Ni and As, while groundwater was not contaminated by heavy metals. The concentrations of Pb, Zn, Cu, Cd, Ni, and As in the paddy soil exceeded the standard values but not those of Cr. In vegetable soils, the concentration of heavy metals was above the standard values except for Ni and As. Soil heavy metal concentrations generally decreased with increasing distance from the polluting source. Leafy vegetables were contaminated by Pb, Cr, Cd, and Ni, while the non-leafy vegetables were contaminated only by Cr. There was a significant difference in heavy metal concentrations between leafy vegetables and non-leafy vegetables. Almost all the rice was polluted by heavy metals. Diet was the most significant contributor to non-carcinogenic risk, which was significantly higher than the safe level of 1. The total cancer risk was also beyond the safe range (10-10). Results revealed that there is a risk of potential health problems to residents in the vicinity of the tailing pond.
本研究旨在评估中国南方广东省尾矿库附近居民的重金属污染和健康风险。采集了尾矿库附近地区的水、土壤、水稻和蔬菜样本。结果表明,地表水仅受到 Ni 和 As 的污染,而地下水未受到重金属污染。稻田土壤中 Pb、Zn、Cu、Cd、Ni 和 As 的浓度超过了标准值,但 Cr 没有超过。在蔬菜土壤中,除了 Ni 和 As 外,重金属浓度均高于标准值。土壤重金属浓度一般随离污染源距离的增加而降低。叶菜类蔬菜受到 Pb、Cr、Cd 和 Ni 的污染,而非叶菜类蔬菜仅受到 Cr 的污染。叶菜类和非叶菜类蔬菜的重金属浓度有显著差异。几乎所有的水稻都受到重金属污染。饮食是造成非致癌风险的最大因素,明显高于 1 的安全水平。总癌症风险也超出了安全范围(10-10)。结果表明,尾矿库附近居民存在潜在健康问题的风险。