Hung Chang-Tsen, Chen Li-Dian, Hou Chien-Wei
Department of Health and Leisure Management Yuanpei University of Medical Technology, Hsinchu, Taiwan.
Department of Convalescence Medicine, Fujian University of Traditional Chinese Medicine, Fuzhou China.
Iran J Basic Med Sci. 2017 Dec;20(12):1324-1330. doi: 10.22038/IJBMS.2017.9543.
Stroke may cause severe neuronal damage. The sesamin have been demonstrated to possess neuroprotection by its antioxidant and anti-inflammatory properties. One sesamin derivative was artificially composited, 1, 2-bis [(3-methoxyphenyl) methyl] ethane-1, 2-dicaroxylic acid (MMEDA) had been developed to study its antioxidative activity and neuroprotection.
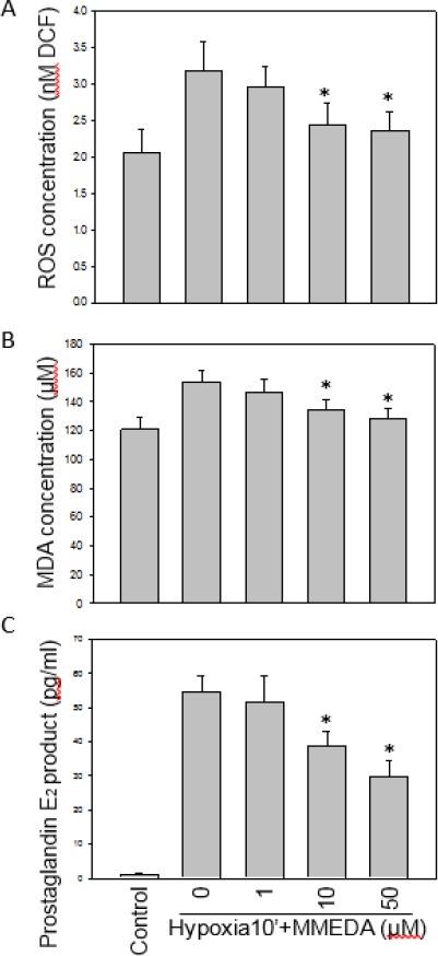
The infaction of Sprague Dawley (SD) rats and hypoxia models of BV-2 microglia or PC12 cells were investigated for and test respectively. Lipid peroxidation and reactive oxygen species (ROS), prostaglandin E (PGE) and related signaling pathways from hypoxic cells were analyzed by ELISA or Western blot assay, respectively.
MMEDA showed a protective effect when given 90 min after the focal cerebral ischemia. The neuroprotection of MMEDA was further confirmed by attenuating ROS and PGE release from hypoxic BV-2 or PC12 cells. MMEDA significantly reduced hypoxia-induced JNK and caspase-3 (survival and apoptotic pathways) in PC12 cells.
The neuroprotective effect of MMEDA on ischemia/hypoxia models was involved with its antioxidative activity and anti-inflammatory effects. These results suggest that MMEDA exert effective neuroprotection against ischemia/hypoxia injury.
中风可能导致严重的神经元损伤。芝麻素已被证明具有抗氧化和抗炎特性,从而具有神经保护作用。一种芝麻素衍生物被人工合成,即1,2-双[(3-甲氧基苯基)甲基]乙烷-1,2-二羧酸(MMEDA),已对其抗氧化活性和神经保护作用展开研究。
分别对Sprague Dawley(SD)大鼠的感染模型以及BV-2小胶质细胞或PC12细胞的缺氧模型进行研究和测试。分别通过ELISA或蛋白质免疫印迹分析检测缺氧细胞中的脂质过氧化和活性氧(ROS)、前列腺素E(PGE)及相关信号通路。
局灶性脑缺血90分钟后给予MMEDA可显示出保护作用。通过减轻缺氧BV-2或PC12细胞释放ROS和PGE,进一步证实了MMEDA的神经保护作用。MMEDA显著降低了缺氧诱导的PC12细胞中JNK和半胱天冬酶-3(生存和凋亡途径)的水平。
MMEDA对缺血/缺氧模型的神经保护作用涉及其抗氧化活性和抗炎作用。这些结果表明,MMEDA对缺血/缺氧损伤具有有效的神经保护作用。