Yu Jie, Zhang Zhichao, Lu Quanfang, Sun Duixiong, Zhu Shuwen, Zhang Xiaomin, Wang Xing, Yang Wu
Key Lab of Bioelectrochemistry and Environmental Analysis of Gansu Province, College of Chemistry and Chemical Engineering, Northwest Normal University, Lanzhou 730070, China.
Editorial Department of the University Journal, Northwest Normal University, Lanzhou 730070, China.
J Anal Methods Chem. 2017;2017:7105831. doi: 10.1155/2017/7105831. Epub 2017 Nov 7.
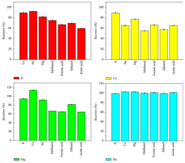
An atomic emission spectrometer (AES) based on a novel atmospheric pressure liquid cathode glow discharge (LCGD) as one of the most promising miniaturized excitation sources has been developed, in which the glow discharge is produced between a needle-like Pt anode and the electrolyte (as cathode) overflowing from a quartz capillary. Lower energy consumption (<50 W) and higher excitation efficiency can be realized by point discharge of the needle-like Pt. The miniaturized LCGD seems particularly well suited to rapid and high-sensitivity determination of K, Ca, Na, and Mg in salt mines samples. The optimized analytical conditions of LCGD-AES were pH = 1 with HNO as electrolyte, 650 V discharge voltage, and 3 mL min solution flow rate. The limits of detections (LODs) of K, Ca, Na, and Mg were 0.390, 0.054, 0.048, and 0.032 mg L, respectively. Measurement results of the LCGD-AES are in good agreement with the comparison value obtained by inductively coupled plasma (ICP) and ion chromatography (IC). All results suggested that the developed portable analytical instrument can be used for on-site and real-time monitoring of metal elements in field with further improvement.
一种基于新型大气压液体阴极辉光放电(LCGD)的原子发射光谱仪(AES)已被开发出来,作为最有前景的小型化激发源之一,其中辉光放电在针状铂阳极与从石英毛细管溢出的电解液(作为阴极)之间产生。针状铂的点放电可实现较低的能耗(<50 W)和较高的激发效率。这种小型化的LCGD似乎特别适合快速、高灵敏度地测定盐矿样品中的钾、钙、钠和镁。LCGD-AES的优化分析条件为:以硝酸为电解液,pH = 1,放电电压650 V,溶液流速3 mL/min。钾、钙、钠和镁的检测限分别为0.390、0.054、0.048和0.032 mg/L。LCGD-AES的测量结果与电感耦合等离子体(ICP)和离子色谱(IC)获得的比较值吻合良好。所有结果表明,所开发的便携式分析仪器经进一步改进后可用于现场金属元素的现场实时监测。