Suppr超能文献

免疫检查点抑制剂在癌症治疗中的性别歧视行为?

The sexist behaviour of immune checkpoint inhibitors in cancer therapy?

作者信息

Botticelli Andrea, Onesti Concetta Elisa, Zizzari Ilaria, Cerbelli Bruna, Sciattella Paolo, Occhipinti Mario, Roberto Michela, Di Pietro Francesca, Bonifacino Adriana, Ghidini Michele, Vici Patrizia, Pizzuti Laura, Napoletano Chiara, Strigari Lidia, D'Amati Giulia, Mazzuca Federica, Nuti Marianna, Marchetti Paolo

机构信息

Medical Oncology Department, Sant'Andrea Hospital, Rome, Italy.

Department of Clinical and Molecular Medicine, "Sapienza" University of Rome, Rome, Italy.

出版信息

Oncotarget. 2017 Nov 1;8(59):99336-99346. doi: 10.18632/oncotarget.22242. eCollection 2017 Nov 21.

Abstract

BACKGROUND

Immune checkpoint inhibitors, targeting the molecules CTLA-4, PD-1 and PD-L1, showed efficacy against several type of cancers and are currently used in clinical practice. An important biological variable that influences innate and adaptive immunity is the sex, acting through genetic, hormonal and environmental factors. The overall differences between sexes could be crucial to evaluate the response to ICIs.

MATERIALS AND METHODS

We performed a meta-analysis of Phase II-III Clinical Trials published up to June 2017 in which anti-CTLA-4, anti-PD-1 and anti-PD-L1 were studied. We extracted the OS and PFS HR differentiated by sex from subgroups analysis of each trial. We analyzed the three classes of drugs separately.

RESULTS

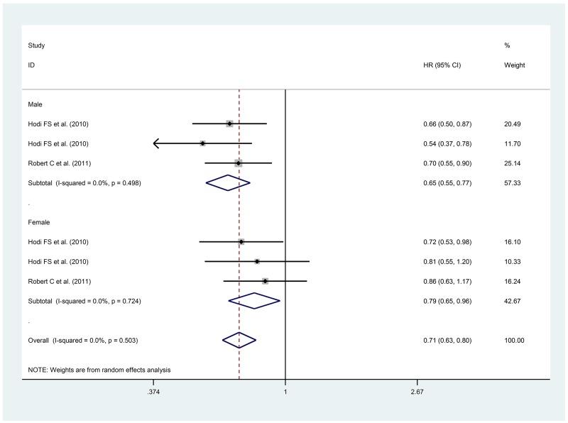
We selected 36 Phase II-III Clinical Trials, 9 of which reported results for OS and 6 for PFS. We analyzed 2 Clinical Trials for OS with anti-CTLA-4, including 1178 patients, observing a benefit for males vs females (HR 0.65, 95% CI 0.55-0.77 HR 0.79, 95% CI 0.65-0.96, p 0.078).Not statistically significant results were observed with anti-PD-1 neither for OS (males females: HR 0.72, 95% CI 0.64-0.83 HR 0.81, 95% CI 0.70-0.94, p 0.285) neither for PFS (males females: HR 0.66, 95% CI 0.52-0.82 vs HR 0.85, 95% CI 0.66-1.09, p 0.158). We cannot perform a meta-analysis for anti-PD-L1 due to the lack of data.

CONCLUSIONS

Different mechanisms could be involved in sex differences with regard to immunotherapy. These differences could be relevant to identify immunological targets in order to draw studies exploring novel combinations of immunotherapy agents.

摘要

背景

免疫检查点抑制剂靶向细胞毒性T淋巴细胞相关抗原4(CTLA-4)、程序性死亡受体1(PD-1)和程序性死亡配体1(PD-L1)分子,对多种癌症显示出疗效,目前已应用于临床实践。性别通过遗传、激素和环境因素影响先天性和适应性免疫,是一个重要的生物学变量。性别之间的总体差异对于评估免疫检查点抑制剂(ICI)的反应可能至关重要。

材料与方法

我们对截至2017年6月发表的II-III期临床试验进行了荟萃分析,其中研究了抗CTLA-4、抗PD-1和抗PD-L1。我们从每个试验的亚组分析中提取了按性别区分的总生存期(OS)和无进展生存期(PFS)的风险比(HR)。我们分别分析了这三类药物。

结果

我们选择了36项II-III期临床试验,其中9项报告了OS结果,6项报告了PFS结果。我们分析了2项使用抗CTLA-4的OS临床试验,包括1178名患者,观察到男性相对于女性有获益(HR 0.65,95%置信区间0.55-0.77;HR 0.79,95%置信区间0.65-0.96,p = 0.078)。使用抗PD-1时,无论是OS(男性对女性:HR 0.72,95%置信区间0.64-0.83;HR 0.81,95%置信区间0.70-0.94,p = 0.285)还是PFS(男性对女性:HR 0.66,95%置信区间0.52-0.82对HR 0.85,95%置信区间0.66-1.09,p = 0.158),均未观察到具有统计学意义的结果。由于缺乏数据,我们无法对抗PD-L1进行荟萃分析。

结论

在免疫治疗方面,性别差异可能涉及不同的机制。这些差异可能与确定免疫靶点相关,以便开展探索免疫治疗药物新组合的研究。

https://cdn.ncbi.nlm.nih.gov/pmc/blobs/cf78/5725096/3886e5b9d3c2/oncotarget-08-99336-g001.jpg

文献AI研究员

20分钟写一篇综述,助力文献阅读效率提升50倍。

立即体验

用中文搜PubMed

大模型驱动的PubMed中文搜索引擎

马上搜索

文档翻译

学术文献翻译模型,支持多种主流文档格式。

立即体验