Suppr超能文献

广泛淋巴结清扫术可提高接受手术治疗的美国胃腺癌患者的生存率:美国国家癌症数据库分析

Extensive Lymph Node Dissection Improves Survival among American Patients with Gastric Adenocarcinoma Treated Surgically: Analysis of the National Cancer Database.

作者信息

Naffouje Samer A, Salti George I

机构信息

Department of General Surgery, University of Illinois Hospital and Health Sciences System, Chicago, IL, USA.

Department of Surgical Oncology, Edward Cancer Center, Naperville, IL, USA.

出版信息

J Gastric Cancer. 2017 Dec;17(4):319-330. doi: 10.5230/jgc.2017.17.e36. Epub 2017 Dec 5.

Abstract

INTRODUCTION

The extent of lymphadenectomy in the surgical treatment of gastric cancer is a topic of controversy among surgeons. This study was conducted to analyze the American National Cancer Database (NCDB) and conclude the optimal extent of lymphadenectomy for gastric adenocarcinoma.

METHODS

The NCDB for gastric cancer was utilized. Patients who received at least a partial gastrectomy were included. Patients with metastatic disease, unknown TNM stages, R1/R2 resection, or treated with a palliative intent were excluded. Joinpoint regression was used to identify the extent of lymphadenectomy that reflects the optimal survival. Cox regression analysis and Bayesian information criterion were used to identify significant survival predictors. Kaplan-Meier was applied to study overall survival and stage migration.

RESULTS

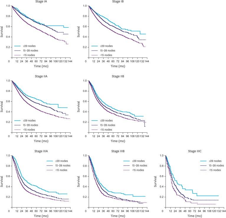
40,281 patients of 168,377 met the inclusion criteria. Joinpoint analysis showed that dissection of 29 nodes provides the optimal median survival for the overall population. Regression analysis reported the cutoff ≥29 to have a better fit in the prognostic model than that of ≥15. Dissection of ≥29 nodes in the higher stages provides a comparable overall survival to the immediately lower stage. Nonetheless, the retrieval of ≥15 nodes proved to be adequate for staging without a significant stage migration compared to ≥29 nodes.

CONCLUSION

The extent of lymphadenectomy in gastric adenocarcinoma is a marker of improved resection which reflects in a longer overall survival. Our analysis concludes that the dissection of ≥15 nodes is adequate for staging. However, the dissection of 29 nodes might be needed to provide a significantly improved survival.

摘要

引言

在胃癌手术治疗中,淋巴结清扫范围是外科医生之间存在争议的话题。本研究旨在分析美国国家癌症数据库(NCDB),并得出胃腺癌淋巴结清扫的最佳范围。

方法

使用NCDB中的胃癌数据。纳入至少接受了部分胃切除术的患者。排除有转移疾病、TNM分期不明、R1/R2切除或姑息性治疗的患者。采用连接点回归分析来确定能反映最佳生存情况的淋巴结清扫范围。使用Cox回归分析和贝叶斯信息准则来确定显著的生存预测因素。应用Kaplan-Meier法研究总生存期和分期迁移情况。

结果

168,377例患者中有40,281例符合纳入标准。连接点分析显示,清扫29个淋巴结可为总体人群提供最佳中位生存期。回归分析表明,在预后模型中,截断值≥29比≥15更合适。在较高分期中清扫≥29个淋巴结与紧邻的较低分期相比,总生存期相当。尽管如此,与清扫≥29个淋巴结相比,清扫≥15个淋巴结已足以进行分期,且无显著分期迁移。

结论

胃腺癌的淋巴结清扫范围是切除改善的一个标志,这反映在更长的总生存期中。我们的分析得出结论,清扫≥15个淋巴结足以进行分期。然而,可能需要清扫29个淋巴结才能显著提高生存率。

https://cdn.ncbi.nlm.nih.gov/pmc/blobs/0de3/5746653/75ff9fce3293/jgc-17-319-g001.jpg

相似文献

4
Adjuvant Therapy Improves Survival for T2N0 Gastric Cancer Patients with Sub-optimal Lymphadenectomy.
Ann Surg Oncol. 2016 Jun;23(6):1956-62. doi: 10.1245/s10434-015-5075-1. Epub 2016 Jan 11.
5
Gastric Cancer Surgery in the US: a Contemporary Trend Analysis of Lymphadenectomy and the Impact of Minimally Invasive Approaches.
J Gastrointest Surg. 2023 Sep;27(9):1825-1836. doi: 10.1007/s11605-023-05735-4. Epub 2023 Jun 20.
8
Resection for gastric cancer in the community.
Semin Oncol. 2005 Dec;32(6 Suppl 9):S90-3. doi: 10.1053/j.seminoncol.2005.06.010.

引用本文的文献

2
D2 Lymphadenectomy for Gastric Cancer: Advancements and Technical Considerations.
Ann Surg Oncol. 2025 Mar;32(3):2129-2140. doi: 10.1245/s10434-024-16545-6. Epub 2024 Nov 26.
6
Revisiting the 8th AJCC system for gastric cancer: A review on validations, nomograms, lymph nodes impact, and proposed modifications.
Ann Med Surg (Lond). 2022 Feb 25;75:103411. doi: 10.1016/j.amsu.2022.103411. eCollection 2022 Mar.

本文引用的文献

2
Gastric Cancer, Version 3.2016, NCCN Clinical Practice Guidelines in Oncology.
J Natl Compr Canc Netw. 2016 Oct;14(10):1286-1312. doi: 10.6004/jnccn.2016.0137.
3
Cancer statistics, 2016.
CA Cancer J Clin. 2016 Jan-Feb;66(1):7-30. doi: 10.3322/caac.21332. Epub 2016 Jan 7.
5
Prediction of cancer incidence and mortality in Korea, 2013.
Cancer Res Treat. 2013 Mar;45(1):15-21. doi: 10.4143/crt.2013.45.1.15. Epub 2013 Mar 31.
6
D1 versus D2 lymphadenectomy for gastric cancer.
J Surg Oncol. 2013 Mar;107(3):259-64. doi: 10.1002/jso.23127. Epub 2012 Apr 18.
9
Comparative epidemiology of gastric cancer between Japan and China.
World J Gastroenterol. 2011 Oct 21;17(39):4421-8. doi: 10.3748/wjg.v17.i39.4421.
10
Global cancer statistics.
CA Cancer J Clin. 2011 Mar-Apr;61(2):69-90. doi: 10.3322/caac.20107. Epub 2011 Feb 4.

文献AI研究员

20分钟写一篇综述,助力文献阅读效率提升50倍。

立即体验

用中文搜PubMed

大模型驱动的PubMed中文搜索引擎

马上搜索

文档翻译

学术文献翻译模型,支持多种主流文档格式。

立即体验