Suppr超能文献

从豨莶中提取的非典型蛋白酶抑制剂 MP-4 的对接、热力学和分子动力学(MD)研究。

Docking, thermodynamics and molecular dynamics (MD) studies of a non-canonical protease inhibitor, MP-4, from Mucuna pruriens.

机构信息

Regional Centre for Biotechnology, NCR Biotech Science Cluster, 3rd Milestone, Faridabad-Gurgaon Expressway, Faridabad, 121001, India.

The Pennsylvania State University, 469 North Frear, University Park, PA, 16802, USA.

出版信息

Sci Rep. 2018 Jan 12;8(1):689. doi: 10.1038/s41598-017-18733-9.

Abstract

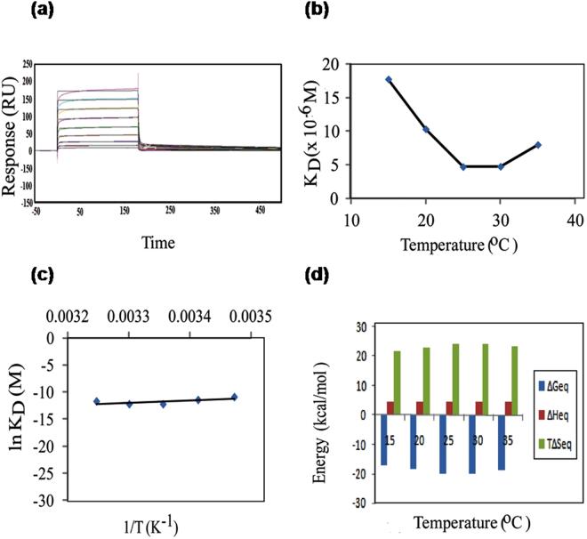
Sequence and structural homology suggests that MP-4 protein from Mucuna pruriens belongs to Kunitz-type protease inhibitor family. However, biochemical assays showed that this protein is a poor inhibitor of trypsin. To understand the basis of observed poor inhibition, thermodynamics and molecular dynamics (MD) simulation studies on binding of MP-4 to trypsin were carried out. Molecular dynamics simulations revealed that temperature influences the spectrum of conformations adopted by the loop regions in the MP-4 structure. At an optimal temperature, MP-4 achieves maximal binding while above and below the optimum temperature, its functional activity is hampered due to unfavourable flexibility and relative rigidity, respectively. The low activity at normal temperature is due to the widening of the conformational spectrum of the Reactive Site Loop (RSL) that reduces the probability of formation of stabilizing contacts with trypsin. The unique sequence of the RSL enhances flexibility at ambient temperature and thus reduces its ability to inhibit trypsin. This study shows that temperature influences the function of a protein through modulation in the structure of functional domain of the protein. Modulation of function through appearance of new sequences that are more sensitive to temperature may be a general strategy for evolution of new proteins.

摘要

序列和结构同源性表明,来自黎豆的 MP-4 蛋白属于 Kunitz 型蛋白酶抑制剂家族。然而,生化分析表明,该蛋白对胰蛋白酶的抑制作用较差。为了了解观察到的抑制作用不佳的原因,对 MP-4 与胰蛋白酶结合的热力学和分子动力学(MD)模拟研究进行了研究。分子动力学模拟表明,温度会影响 MP-4 结构中环区采用的构象谱。在最佳温度下,MP-4 实现了最大结合,而在最佳温度以上和以下,由于不适合的灵活性和相对刚性,其功能活性受到阻碍。在常温下活性较低是由于反应性位点环(RSL)的构象谱变宽,从而降低了与胰蛋白酶形成稳定接触的概率。RSL 的独特序列增强了在环境温度下的灵活性,从而降低了其抑制胰蛋白酶的能力。这项研究表明,温度通过蛋白质功能域结构的调节来影响蛋白质的功能。通过出现对温度更敏感的新序列来调节功能可能是新蛋白质进化的一般策略。

https://cdn.ncbi.nlm.nih.gov/pmc/blobs/d117/5766534/74c7be60fe8f/41598_2017_18733_Fig1_HTML.jpg

文献检索

告别复杂PubMed语法,用中文像聊天一样搜索,搜遍4000万医学文献。AI智能推荐,让科研检索更轻松。

立即免费搜索

文件翻译

保留排版,准确专业,支持PDF/Word/PPT等文件格式,支持 12+语言互译。

免费翻译文档

深度研究

AI帮你快速写综述,25分钟生成高质量综述,智能提取关键信息,辅助科研写作。

立即免费体验