Suppr超能文献

Analysis of criteria for treatment initiation in patients with progressive chronic lymphocytic leukemia.

作者信息

Mozas Pablo, Rivas-Delgado Alfredo, Baumann Tycho, Villamor Neus, Ortiz-Maldonado Valentín, Aymerich Marta, Costa Dolors, Navarro Alba, Giné Eva, López-Guillermo Armando, Montserrat Emili, Delgado Julio

机构信息

Department of Hematology, Institute of Hematology and Oncology, Hospital Clinic, Institut d'Investigacions Biomèdiques August Pi i Sunyer (IDIBAPS), University of Barcelona, Barcelona, Spain.

Department of Pathology, Hematopathology Unit, Hospital Clínic, IDIBAPS, University of Barcelona, Barcelona, Spain.

出版信息

Blood Cancer J. 2018 Jan 16;8(1):10. doi: 10.1038/s41408-017-0044-5.

Abstract
摘要
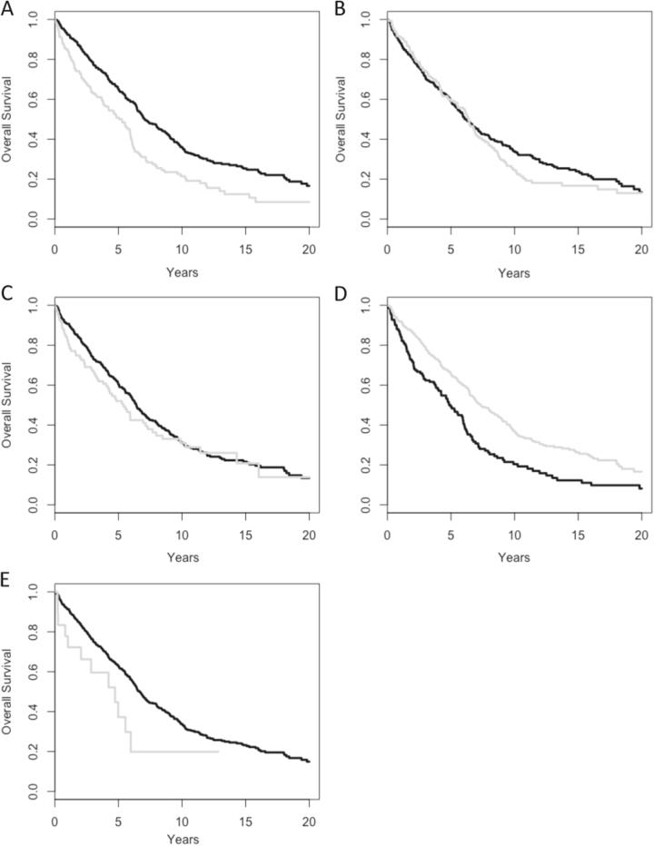
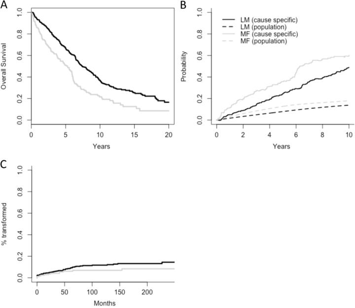
https://cdn.ncbi.nlm.nih.gov/pmc/blobs/0b61/5802533/4fb73da2b19e/41408_2017_44_Fig1_HTML.jpg

文献AI研究员

20分钟写一篇综述,助力文献阅读效率提升50倍。

立即体验

用中文搜PubMed

大模型驱动的PubMed中文搜索引擎

马上搜索

文档翻译

学术文献翻译模型,支持多种主流文档格式。

立即体验