Suppr超能文献

受限的电渗流涡旋在结构离子交换膜中。

Confined Electroconvective Vortices at Structured Ion Exchange Membranes.

机构信息

Soft Matter, Fluidics and Interfaces Group, MESA+ Institute of Nanotechnology, University of Twente , 7500AE Enschede, The Netherlands.

Wetsus, European Centre of Excellence for Sustainable Water Technology , Oostergoweg 9, 8911MA Leeuwarden, The Netherlands.

出版信息

Langmuir. 2018 Feb 20;34(7):2455-2463. doi: 10.1021/acs.langmuir.7b04135. Epub 2018 Feb 5.

Abstract

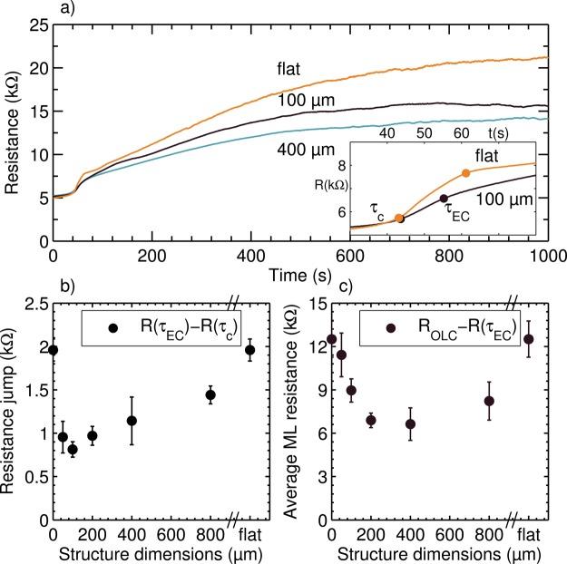
In this paper, we investigate electroconvective ion transport at cation exchange membranes with different geometry square-wave structures (line undulations) experimentally and numerically. Electroconvective microvortices are induced by strong concentration polarization once a threshold potential difference is applied. The applied potential required to start and sustain electroconvection is strongly affected by the geometry of the membrane. A reduction in the resistance of approximately 50% can be obtained when the structure size is similar to the mixing layer (ML) thickness, resulting in confined vortices with less lateral motion compared to the case of flat membranes. From electrical, flow, and concentration measurements, ion migration, advection, and diffusion are quantified, respectively. Advection and migration are dominant in the vortex ML, whereas diffusion and migration are dominant in the stagnant diffusion layer. Numerical simulations, based on Poisson-Nernst-Planck and Navier-Stokes equations, show similar ion transport and flow characteristics, highlighting the importance of membrane topology on the resulting electrokinetic and electrohydrodynamic behavior.

摘要

本文从实验和数值两个方面研究了具有不同几何形状的方波结构(线波动)的阳离子交换膜中的电致对流离子传输。一旦施加了阈值电势差,就会通过强浓度极化来感应电致对流微涡旋。开始和维持电致对流所需的外加电势强烈地受到膜几何形状的影响。当结构尺寸与混合层(ML)厚度相当时,电阻可降低约 50%,从而产生与平面膜相比横向运动较少的限制型涡旋。通过电、流动和浓度测量,分别量化了离子迁移、对流和扩散。对流和迁移在涡旋 ML 中占主导地位,而扩散和迁移在停滞扩散层中占主导地位。基于泊松-纳斯特-普朗克和纳维-斯托克斯方程的数值模拟显示出相似的离子输运和流动特性,突出了膜拓扑结构对产生的电动和电动流体动力学行为的重要性。

https://cdn.ncbi.nlm.nih.gov/pmc/blobs/b2cc/5822219/1b9d8fe969d4/la-2017-041358_0001.jpg

文献检索

告别复杂PubMed语法,用中文像聊天一样搜索,搜遍4000万医学文献。AI智能推荐,让科研检索更轻松。

立即免费搜索

文件翻译

保留排版,准确专业,支持PDF/Word/PPT等文件格式,支持 12+语言互译。

免费翻译文档

深度研究

AI帮你快速写综述,25分钟生成高质量综述,智能提取关键信息,辅助科研写作。

立即免费体验