Suppr超能文献

对新环境的进化适应通常会逆转可塑性表型变化。

Evolutionary adaptations to new environments generally reverse plastic phenotypic changes.

作者信息

Ho Wei-Chin, Zhang Jianzhi

机构信息

Department of Ecology and Evolutionary Biology, University of Michigan, Ann Arbor, MI, 48109, USA.

Center for Mechanisms of Evolution, The Biodesign Institute, Arizona State University, Tempe, AZ, 85287, USA.

出版信息

Nat Commun. 2018 Jan 24;9(1):350. doi: 10.1038/s41467-017-02724-5.

Abstract

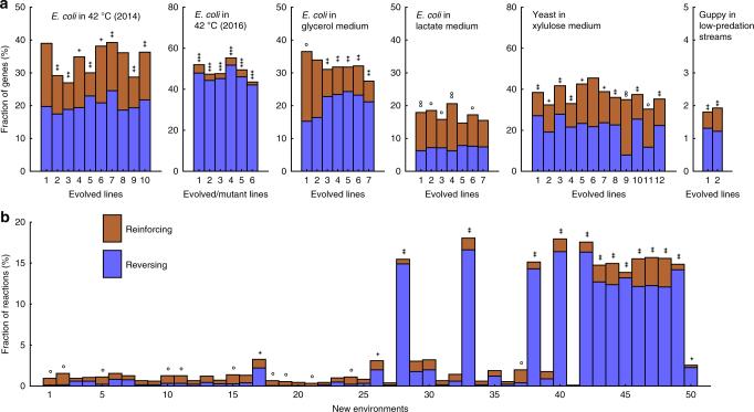
Organismal adaptation to a new environment may start with plastic phenotypic changes followed by genetic changes, but whether the plastic changes are stepping stones to genetic adaptation is debated. Here we address this question by investigating gene expression and metabolic flux changes in the two-phase adaptation process using transcriptomic data from multiple experimental evolution studies and computational metabolic network analysis, respectively. We discover that genetic changes more frequently reverse than reinforce plastic phenotypic changes in virtually every adaptation. Metabolic network analysis reveals that, even in the presence of plasticity, organismal fitness drops after environmental shifts, but largely recovers through subsequent evolution. Such fitness trajectories explain why plastic phenotypic changes are genetically compensated rather than strengthened. In conclusion, although phenotypic plasticity may serve as an emergency response to a new environment that is necessary for survival, it does not generally facilitate genetic adaptation by bringing the organismal phenotype closer to the new optimum.

摘要

生物体对新环境的适应可能始于可塑性表型变化,随后是基因变化,但可塑性变化是否是基因适应的垫脚石仍存在争议。在这里,我们通过分别使用来自多个实验进化研究的转录组数据和计算代谢网络分析,研究两阶段适应过程中的基因表达和代谢通量变化,来解决这个问题。我们发现,在几乎每一种适应中,基因变化比强化可塑性表型变化更频繁地发生逆转。代谢网络分析表明,即使存在可塑性,环境变化后生物体的适应性也会下降,但通过随后的进化在很大程度上会恢复。这种适应性轨迹解释了为什么可塑性表型变化会在基因上得到补偿而不是加强。总之,尽管表型可塑性可能作为对新环境的一种紧急反应,这对生存是必要的,但它通常不会通过使生物体表型更接近新的最优状态来促进基因适应。

https://cdn.ncbi.nlm.nih.gov/pmc/blobs/4a57/5783951/39a6ae03ee13/41467_2017_2724_Fig1_HTML.jpg

文献检索

告别复杂PubMed语法,用中文像聊天一样搜索,搜遍4000万医学文献。AI智能推荐,让科研检索更轻松。

立即免费搜索

文件翻译

保留排版,准确专业,支持PDF/Word/PPT等文件格式,支持 12+语言互译。

免费翻译文档

深度研究

AI帮你快速写综述,25分钟生成高质量综述,智能提取关键信息,辅助科研写作。

立即免费体验