Suppr超能文献

NO 供体型氮氧杂和氮杂桥环十五烷衍生物的合成及生物评价作为潜在的神经保护候选物。

Synthesis and Biological Evaluations of NO-Donating Oxa- and Aza-Pentacycloundecane Derivatives as Potential Neuroprotective Candidates.

机构信息

Pharmaceutical Chemistry, School of Pharmacy, University of the Western Cape, Private Bag X17, Bellville 7535, South Africa.

出版信息

Molecules. 2018 Jan 31;23(2):308. doi: 10.3390/molecules23020308.

Abstract

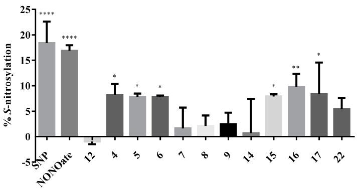
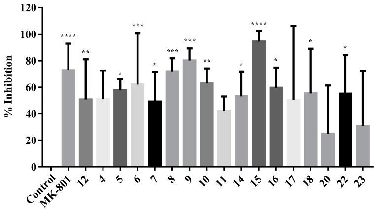
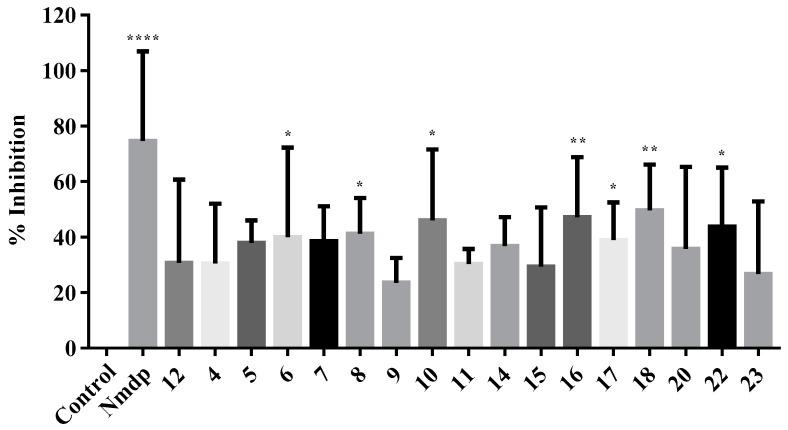
In order to utilize the neuroprotective properties of polycyclic cage compounds, and explore the NO-donating ability of nitrophenyl groups, an array of compounds was synthesized where the different nitrophenyl groups were appended on oxa and aza-bridged cage derivatives. Biological evaluations of the compounds were done for cytotoxicity, neuroprotective abilities, the inhibition of -methyl-d-aspartate (NMDA)-mediated Ca influx, the inhibition of voltage-mediated Ca influx, and -nitrosylation abilities. All of the compounds showed low toxicity. With a few exceptions, most of the compounds displayed good neuroprotection and showed inhibitory activity for NMDA-mediated and voltage-gated calcium influx, ranging from high (>70%) to low (20-39%) inhibition. In the -nitrosylation assay, the compounds with the nitro moiety as the NO-donating group exhibited low to good nitrosylation potency compared to the positive controls. From the biological evaluation of the tested compounds, it was not possible to obtain a simple correlation that could explain the results across all of the biological study domains. This can be ascribed to the independent processes evaluated in the different assays, which reiterate that neuroprotection is a result of multifactorial biochemical mechanisms and interactions. However, these results signify the important aspects of the pentacylcoundecylamine neuroprotectants across different biological study realms.

摘要

为了利用多环笼状化合物的神经保护特性,并探索硝苯基基团的供氮能力,合成了一系列化合物,其中不同的硝苯基基团被连接到氧桥和氮桥笼状衍生物上。对化合物进行了细胞毒性、神经保护能力、-甲基-d-天冬氨酸(NMDA)介导的 Ca 内流抑制、电压门控 Ca 内流抑制和 -亚硝化能力的生物学评价。所有化合物的毒性都较低。除了少数例外,大多数化合物都显示出良好的神经保护作用,并对 NMDA 介导的和电压门控钙内流具有抑制活性,抑制率从高(>70%)到低(20-39%)不等。在 -亚硝化测定中,与阳性对照相比,具有硝基亚硝酰基作为供氮基团的化合物表现出低至良好的亚硝化能力。从测试化合物的生物学评价来看,不可能获得一种简单的相关性,可以解释所有生物学研究领域的结果。这可以归因于不同测定中评估的独立过程,这再次表明神经保护是多因素生化机制和相互作用的结果。然而,这些结果标志着五碳环十一烷基胺神经保护剂在不同生物学研究领域的重要方面。

https://cdn.ncbi.nlm.nih.gov/pmc/blobs/021c/6017363/d90f3ce69c7d/molecules-23-00308-g001.jpg

文献AI研究员

20分钟写一篇综述,助力文献阅读效率提升50倍。

立即体验

用中文搜PubMed

大模型驱动的PubMed中文搜索引擎

马上搜索

文档翻译

学术文献翻译模型,支持多种主流文档格式。

立即体验